Ostatnia aktualizacja :
18/03/2026
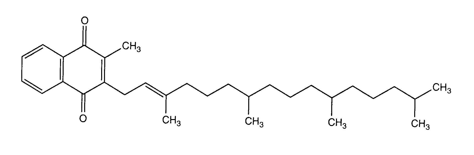
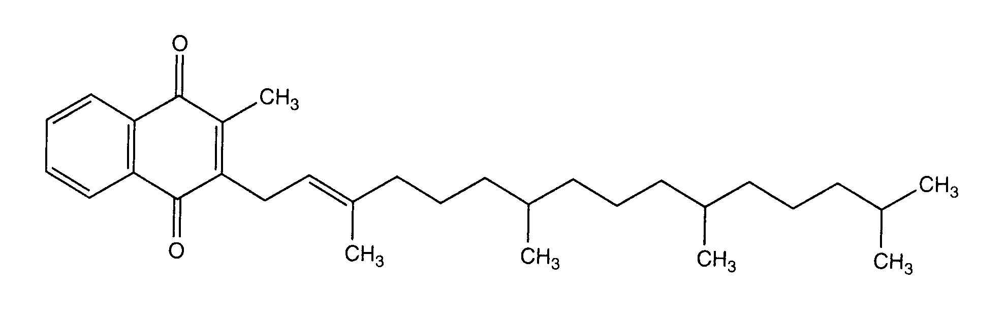
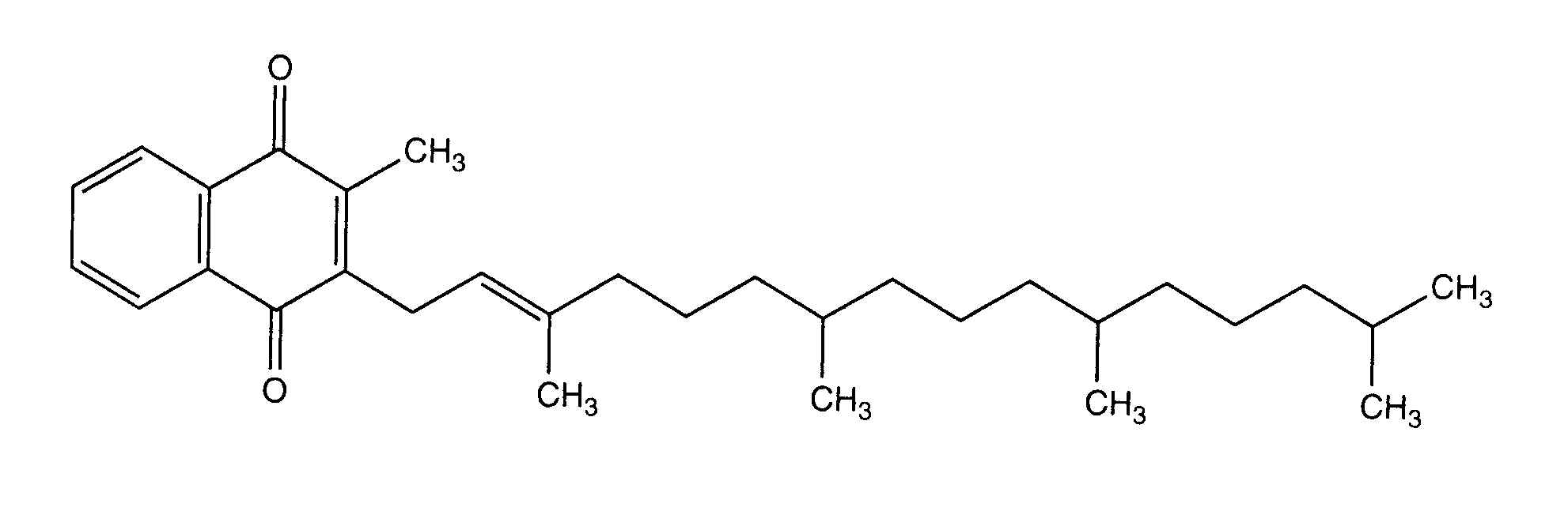
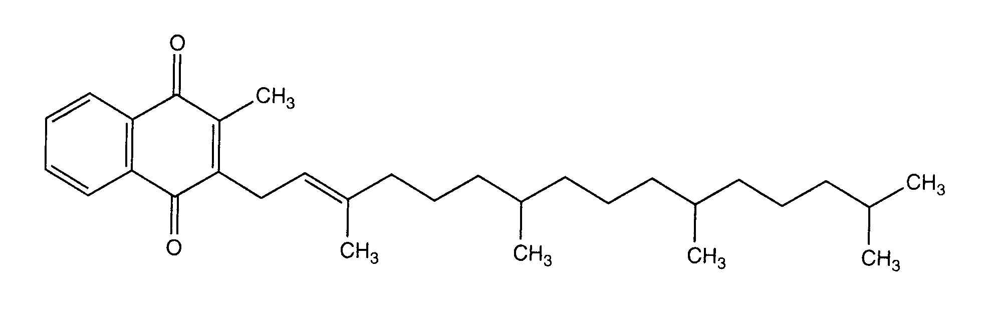
Witamina   Phytomenadione  
Injekcje
Roztwór doustny
Trwałość roztworów Trwałość w mieszaninie Czynnik wpływający na trwałość Zgodność Sposób podania Bibliografia pdf
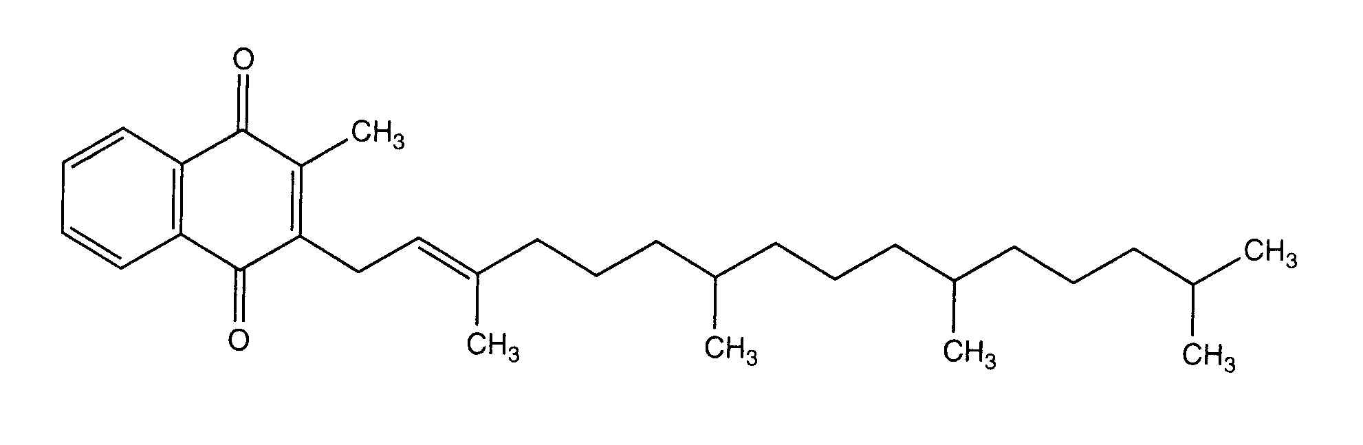
   Struktura chemiczna  

Nazwa handlowa   Nazwa handlowa     

Trade names are indicative and excipients composition can be different depending on the country and manufacturers

Adcokion Egipt
Amidalak Meksyk
Amri-K Egipt
Aquamephyton Stany Zjednoczone Ameryki
Epikavit Egipt
Haemokion Egipt
Hyvit Brazylia
Kanakion Brazylia, Portugalia
Kavit Brazylia
Kenadion Indie
Kisan Malezja
Konakion Arabia Saudyjska, Argentyna, Austria, Belgia, Chile, Chorwacja, Dania, Egipt, Ekwador, Finlandia, Grecja, Hiszpania, Holandia, Irlandia, Islandia, KolumbiaKolumbia, Luksemburg, Maroko, Niemcy, Norwegia, nowa Zelandia, Polska, Szwajcaria, Szwecja, Turcja, Węgry, Wielka Brytania, Włochy, Zjednoczone Emiraty Arabskie
Oskavit Iran
Rupek Argentyna
Vikadic Iran
Vitatron Brazylia

Czynnik wpływający na trwałość   Injekcje   Czynnik wpływający na trwałość : Phytomenadione        
Bibliografia
Przechowywanie światło Wywołuje Degradacja 951

  Mentions Légales