zadnja posodobitev :
27/01/2026
Antibiotik   Ampicillin sodium - sulbactam sodium  
Brizgalka
Stabilnost raztopine Stabilnost mešanice Faktorji, ki vplivajo na stabilnost Kompatibilnost način aplikacije Viri pdf
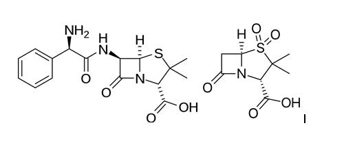
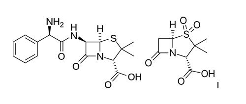
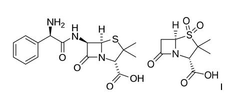
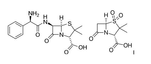
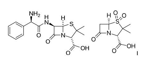
   Kemična formula  

Lastniško ime   Lastniško ime     

Sestava pomožnih snovi je med paralelami lahko različna

Alfasid Turčija
Ampibac Kolumbija
Ampibactam Venezuela
Ampicillin sulbactam Avstralija
Ampicillina sodica - sulbactam Brazilija, Ekvador
Ampictam Egipt
Ampiplus Romunija, Savdska Arabija
Ampisid Turčija
Ampixim Venezuela
Bacimex Španija
Begalin Grčija
Bethacil Italija
Cinclox Indija
Combicid Turčija
Darzitil Argentina
Duobaktam Turčija
Duocid Turčija
Galotam Španija
Libractam Čile
Loricin Italija
Prixin Argentina
Ranpisul Mehika
Retarpen Španija
Sabect Egipt
Sulamp Kolumbija
Sulbacter Venezuela
Sulbaksit Turčija
Sulbin Egipt
Sulcid Turčija
Sumitan Kolumbija, Venezuela
Synerpen Egipt
Ultracillin Egipt
Unacid Nemčija
Unacim Francija
Unasyn Avstrija, Brazilija, Čile, Egipt, Ekvador, Italija, Japonska, Kolumbija, Madžarska, Malezija, Maroko, Mehika, Nemčija, Peru, Poljska, Savdska Arabija, Španija, Združene države Amerike
Unictam Egipt
Xilbac Peru
Stabilnost raztopine   Brizgalka   Stabilnost raztopine : Ampicillin sodium - sulbactam sodium     
Vsebnik Topilo Koncentracija Temperatura Shranjevanje Trajanje stabilnosti Viri
Polivinil klorid Natrijev klorid 0,9% 20 mg/ml 24°C Nedoločeno
24 čas
258
 Stopnja dokaza D

Polivinil klorid Natrijev klorid 0,9% 20 mg/ml 5°C Nedoločeno
60 čas
258
 Stopnja dokaza D


  Mentions Légales