Dernière mise à jour :
18/03/2026
Antibiotique   Ampicillin sodium - sulbactam sodium  
injectable
Stabilité des solutions Stabilité en mélange Facteur influençant la stabilité Compatibilités Voie d’administration Bibliographie pdf
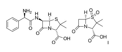
   Structure chimique  

Noms commerciaux   Noms commerciaux     

Les noms commerciaux sont donnés à titre indicatif et la composition en excipients peut être différente selon les pays et selon les laboratoires

Alfasid Turquie
Ampibac Colombie
Ampibactam Vénézuela
Ampicillin sulbactam Australie
Ampicillina sodica - sulbactam Brésil, Equateur
Ampictam Egypte
Ampiplus Arabie Saoudite, Roumanie
Ampisid Turquie
Ampixim Vénézuela
Bacimex Espagne
Begalin Grèce
Bethacil Italie
Cinclox Inde
Combicid Turquie
Darzitil Argentine
Duobaktam Turquie
Duocid Turquie
Galotam Espagne
Libractam Chili
Loricin Italie
Prixin Argentine
Ranpisul Mexique
Retarpen Espagne
Sabect Egypte
Sulamp Colombie
Sulbacter Vénézuela
Sulbaksit Turquie
Sulbin Egypte
Sulcid Turquie
Sumitan Colombie, Vénézuela
Synerpen Egypte
Ultracillin Egypte
Unacid Allemagne
Unacim France
Unasyn Allemagne, Arabie Saoudite, Autriche, Brésil, Chili, Colombie, Egypte, Equateur, Espagne, Etats Unis d’Amérique, Hongrie, Italie, Japon, Malaisie, Maroc, Mexique, Pérou, Pologne
Unictam Egypte
Xilbac Pérou
Stabilité des solutions   injectable   Stabilité des solutions : Ampicillin sodium - sulbactam sodium     
Contenant Solvant Concentration Température Conservation Durée de stabilité Bibliographie
Polyvinyl chlorure Chlorure de sodium 0,9% 20 mg/ml 24°C Non précisée
24 Heure
258
Niveau de preuve D

Polyvinyl chlorure Chlorure de sodium 0,9% 20 mg/ml 5°C Non précisée
60 Heure
258
Niveau de preuve D


  Mentions Légales