Utolsó frissítés :
27/01/2026
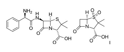
Antibiotikum   Ampicillin sodium - sulbactam sodium  
Injekció
Az oldatok stabilitása A keverékek stabilitása Stabilitást befolyásoló tényezők Kompatibilitás Az alkalmazás módja Irodalom pdf
   Kémiai szerkezet   

Kereskedelmi név   Kereskedelmi név     

A kereskedelmi név meghatározó jelentőségű: a készítmények összetétele országonként, előállítóként eltérő lehet

Alfasid Törökország
Ampibac Colombia
Ampibactam Venezuela
Ampicillin sulbactam Ausztrália
Ampicillina sodica - sulbactam Brazília, Ecuador
Ampictam Egyiptom
Ampiplus Románia, Szaúd-Arábiában
Ampisid Törökország
Ampixim Venezuela
Bacimex Spanyolország
Begalin Görögország
Bethacil Olaszország
Cinclox India
Combicid Törökország
Darzitil Argentína
Duobaktam Törökország
Duocid Törökország
Galotam Spanyolország
Libractam Chile
Loricin Olaszország
Prixin Argentína
Ranpisul Mexikó
Retarpen Spanyolország
Sabect Egyiptom
Sulamp Colombia
Sulbacter Venezuela
Sulbaksit Törökország
Sulbin Egyiptom
Sulcid Törökország
Sumitan Colombia, Venezuela
Synerpen Egyiptom
Ultracillin Egyiptom
Unacid Németország
Unacim Franciaország
Unasyn Amerikai Egyesült Államok, Ausztria, Brazília, Chile, Colombia, Ecuador, Egyiptom, Japán, Lengyelország, Magyarország, Malaysia, Marokkó, Mexikó, Németország, Olaszország, Peru, Spanyolország, Szaúd-Arábiában
Unictam Egyiptom
Xilbac Peru
Az oldatok stabilitása   Injekció   Az oldatok stabilitása : Ampicillin sodium - sulbactam sodium     
Csomagolás Oldószer Koncentráció Hőmérséklet Tárolás A stabilitás időtartama Irodalom
Poli(vinilklorid) 0,9% nátrium-klorid 20 mg/ml 24°C Nincs meghatározva
24 Óra
258
Szintű bizonyítékot D

Poli(vinilklorid) 0,9% nátrium-klorid 20 mg/ml 5°C Nincs meghatározva
60 Óra
258
Szintű bizonyítékot D


  Mentions Légales