Τελευταία ενημέρωση :
27/01/2026
Αντιβιοτικό   Ampicillin sodium - sulbactam sodium  
Ενέσιμο
Σταθερότητα διαλυμάτων Σταθερότητα σε μίγματα Παράγοντας που επηρεάζει τη σταθερότητα Συμβατότητες Τρόπος χορήγησης Βιβλιογραφία pdf
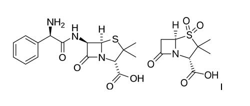
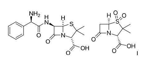
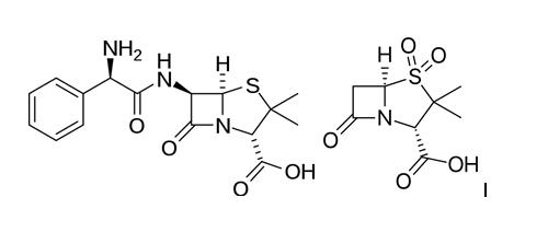
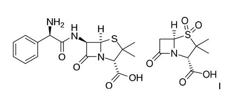
   χημική δομή  

Εμπορική ονομασία   Εμπορική ονομασία     

Οι εμπορικές ονομασίες είναι ενδεικτικές και η σύνθεση των εκδόχων μπορεί να διαφέρει ανάλογα με τη χώρα και τα εργαστήρια

Alfasid Τουρκία
Ampibac Κολομβία
Ampibactam Βενεζουέλα
Ampicillin sulbactam Αυστραλία
Ampicillina sodica - sulbactam Βραζιλία, Εκουαδόρ
Ampictam Αίγυπτος
Ampiplus Ρουμανία, Σαουδική Αραβία
Ampisid Τουρκία
Ampixim Βενεζουέλα
Bacimex Ισπανία
Begalin Ελλάδα
Bethacil Ιταλία
Cinclox Ινδία
Combicid Τουρκία
Darzitil Αργεντινή
Duobaktam Τουρκία
Duocid Τουρκία
Galotam Ισπανία
Libractam Χιλή
Loricin Ιταλία
Prixin Αργεντινή
Ranpisul Μεξικό
Retarpen Ισπανία
Sabect Αίγυπτος
Sulamp Κολομβία
Sulbacter Βενεζουέλα
Sulbaksit Τουρκία
Sulbin Αίγυπτος
Sulcid Τουρκία
Sumitan Βενεζουέλα, Κολομβία
Synerpen Αίγυπτος
Ultracillin Αίγυπτος
Unacid Γερμανία
Unacim Γαλλία
Unasyn Αίγυπτος, Αυστρία, Βραζιλία, Γερμανία, Εκουαδόρ, Η.Π.Α., Ιαπωνία, Ισπανία, Ιταλία, Κολομβία, Μαλαισία, Μαρόκο, Μεξικό, Ουγγαρία, Περού, Πολωνία, Σαουδική Αραβία, Χιλή
Unictam Αίγυπτος
Xilbac Περού
Σταθερότητα διαλυμάτων   Ενέσιμο   Σταθερότητα διαλυμάτων : Ampicillin sodium - sulbactam sodium     
Υποδοχέας Διαλυτικό Συγκέντρωση Θερμοκρασία Αποθήκευση Διάρκεια σταθερότητας Βιβλιογραφία
Πολυβινυλοχλωρίδιο Χλωριούχο νάτριο 0,9% 20 mg/ml 24°C Απροσδιόριστο
24 Ώρα
258
Επίπεδο των αποδεικτικών στοιχείων D

Πολυβινυλοχλωρίδιο Χλωριούχο νάτριο 0,9% 20 mg/ml 5°C Απροσδιόριστο
60 Ώρα
258
Επίπεδο των αποδεικτικών στοιχείων D


  Mentions Légales