viimane versioon :
27/01/2026
antibiootikum   Ampicillin sodium - sulbactam sodium  
Süsteravim
Stabiilsus lahustes Stabiilsust mõjutavad tegurid stabiilsust mõjutavad faktorid Sobimatus Manustamis viis Viited pdf
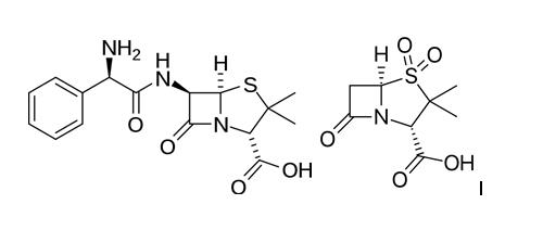
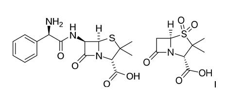
   keemiline struktuur  

Kaubanduslikud nimed erinevates maades   Kaubanduslikud nimed erinevates maades     

Preparaatide nimed on näitlikud ja abianete sisaldus võib erineda sõltuvalt riigist ja laborist

Alfasid Türgi
Ampibac Kolumbia
Ampibactam Venetsueela
Ampicillin sulbactam Austraalia
Ampicillina sodica - sulbactam Brasiilia, Ecuador
Ampictam Egiptus
Ampiplus Rumeenia, Saudi Araabia
Ampisid Türgi
Ampixim Venetsueela
Bacimex Hispaania
Begalin Kreeka
Bethacil Itaalia
Cinclox India
Combicid Türgi
Darzitil Argentiina
Duobaktam Türgi
Duocid Türgi
Galotam Hispaania
Libractam Tšiili
Loricin Itaalia
Prixin Argentiina
Ranpisul Mehhiko
Retarpen Hispaania
Sabect Egiptus
Sulamp Kolumbia
Sulbacter Venetsueela
Sulbaksit Türgi
Sulbin Egiptus
Sulcid Türgi
Sumitan Kolumbia, Venetsueela
Synerpen Egiptus
Ultracillin Egiptus
Unacid Saksamaa
Unacim Prantsusmaa
Unasyn Ameerika ühendriigid, Austria, Brasiilia, Ecuador, Egiptus, Hispaania, Itaalia, Jaapan, Kolumbia, Malaisia, Maroko, Maroko, Mehhiko, Poola, Saksamaa, Saudi Araabia, Tšiili, Ungari
Unictam Egiptus
Xilbac Maroko
Stabiilsus lahustes   Süsteravim   Stabiilsus lahustes : Ampicillin sodium - sulbactam sodium     
konteiner lahusti kontsentratsioon temperatuur ladustamine Stabiilsuse kestus Viited
polüvinüülkloriid naatriumkloriid 0.9% 20 mg/ml 24°C pole täpsustatud
24 Tund
258
Tõenduspõhisuse tase D

polüvinüülkloriid naatriumkloriid 0.9% 20 mg/ml 5°C pole täpsustatud
60 Tund
258
Tõenduspõhisuse tase D


  Mentions Légales