Letztes “update” :
18/03/2026
Antibiotikum   Ampicillin sodium - sulbactam sodium  
Injektion
Stabilität der Lösung Gemengestabilität Stabilitätbeeinflussende Faktoren Kompatibilitäten Applikationsart Literaturverzeichnis pdf
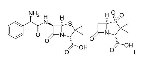
   Chemische Struktur  

Handelsmarke   Handelsmarke     

Handelsnamen sind als beispielhaft anzusehen. Sonstige Bestandteile können je nach Hersteller oder Land verschieden sein

Alfasid Türkei
Ampibac Kolumbien
Ampibactam Venezuela
Ampicillin sulbactam Australien
Ampicillina sodica - sulbactam Brasilien, Ecuador
Ampictam Ägypten
Ampiplus Rumänien, Saudi-Arabien
Ampisid Türkei
Ampixim Venezuela
Bacimex Spanien
Begalin Griechenland
Bethacil Italien
Cinclox Indien
Combicid Türkei
Darzitil Argentinien
Duobaktam Türkei
Duocid Türkei
Galotam Spanien
Libractam Chile
Loricin Italien
Prixin Argentinien
Ranpisul Mexiko
Retarpen Spanien
Sabect Ägypten
Sulamp Kolumbien
Sulbacter Venezuela
Sulbaksit Türkei
Sulbin Ägypten
Sulcid Türkei
Sumitan Kolumbien, Venezuela
Synerpen Ägypten
Ultracillin Ägypten
Unacid Deutschland
Unacim Frankreich
Unasyn Ägypten, Brasilien, Chile, Deutschland, Ecuador, Italien, Japan, Kolumbien, Malaysia, Marokko, Mexiko, Österreich, Peru, Polen, Saudi-Arabien, Spanien, Ungarn, Vereinigte Staaten von Amerika
Unictam Ägypten
Xilbac Peru
Stabilität der Lösung   Injektion   Stabilität der Lösung : Ampicillin sodium - sulbactam sodium     
Behälter Lösungsmittel Konzentration Temperatur Konservierung Dauer der Stabilität Literaturverzeichnis
Polyvinylchlorid 0,9% Natriumchlorid 20 mg/ml 24°C Nicht genau angegeben
24 Stunde
258
Evidenzgrad D

Polyvinylchlorid 0,9% Natriumchlorid 20 mg/ml 5°C Nicht genau angegeben
60 Stunde
258
Evidenzgrad D


  Mentions Légales