Viimeisin päivitys :
27/01/2026
Antibiootit   Ampicillin sodium - sulbactam sodium  
Injektioneste
Stabilius liuoksessa Stabilius seoksissa Tekijät, jotka vaikuttavat stabiliuteen Yhteensopivuus Antotapa Viitteet pdf
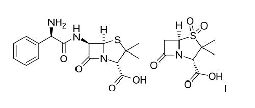
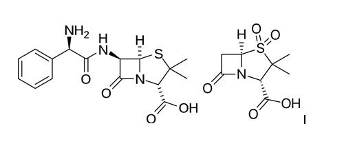
   Kemiallinen rakenne  

Kauppanimi   Kauppanimi     

Trade names are indicative and excipients composition can be different depending on the country and manufacturers

Alfasid Turkki
Ampibac Kolumbia
Ampibactam Venezuela
Ampicillin sulbactam Australia
Ampicillina sodica - sulbactam Brasilia, Ecuador
Ampictam Egypti
Ampiplus Romania, Saudi-Arabia
Ampisid Turkki
Ampixim Venezuela
Bacimex Espanja
Begalin Kreikka
Bethacil Italia
Cinclox Intia
Combicid Turkki
Darzitil Argentiina
Duobaktam Turkki
Duocid Turkki
Galotam Espanja
Libractam Chile
Loricin Italia
Prixin Argentiina
Ranpisul Meksiko
Retarpen Espanja
Sabect Egypti
Sulamp Kolumbia
Sulbacter Venezuela
Sulbaksit Turkki
Sulbin Egypti
Sulcid Turkki
Sumitan Kolumbia, Venezuela
Synerpen Egypti
Ultracillin Egypti
Unacid Saksa
Unacim Ranska
Unasyn Brasilia, Chile, Ecuador, Egypti, Espanja, Italia, Itävalta, Japani, Kolumbia, Malesia, Marokko, Marokko, Meksiko, Puola, Saksa, Saudi-Arabia, Unkari, Yhdysvallat
Unictam Egypti
Xilbac Marokko
Stabilius liuoksessa   Injektioneste   Stabilius liuoksessa : Ampicillin sodium - sulbactam sodium     
Astia Liuotin Konsentraatio Lämpötila Säilytys Vakauden kesto Viitteet
Polyvinyylikloridi Natriumkloridi 0,9% 20 mg/ml 24°C Ei määritetty
24 tunti
258
Näytön laajuus D

Polyvinyylikloridi Natriumkloridi 0,9% 20 mg/ml 5°C Ei määritetty
60 tunti
258
Näytön laajuus D


  Mentions Légales