Senaste uppdateringen :
31/03/2026
Infostab
Förteckning över substanser
Sammanfattande listor
Sök efter kompatibilitet
Kompatibilitetstabell
Hänvisningar
forskargrupper
valistab
Posters
Anslutningar
sponsorer
Författare
Användaranvisning
Nyhetsbladet
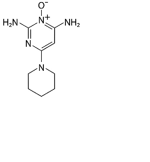
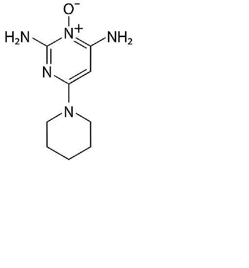
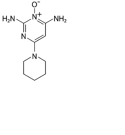
Minoxidil
Molekylstruktur
Hänvisningar : Minoxidil
Typ
Publikation
4075
tidningen
Song Y, Whey Chin Z, Ellis D, Mon Phyo Lwin E, Turner S, Williams D, Garg S.
Stability of an extemporaneously compounded minoxidil oral suspension.
Am J Health-Syst Pharm 2018 ;75,5: 309-315
Mentions Légales