Zadnji put ažurirano :
31/03/2026
vazodilatator   Minoxidil  
oralna otopina
masti
Stabilnost farmaceutskih pripravaka Stabilnost mješavine Stabilizacijski faktor Kompatibilnosti Bibliografija pdf
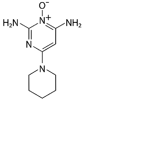
   Kemijska struktura  

oralna otopina
Bibliografija   oralna otopina     Bibliografija : Minoxidil  
Vrsta Publikacija
4075 Časopis Song Y, Whey Chin Z, Ellis D, Mon Phyo Lwin E, Turner S, Williams D, Garg S.
Stability of an extemporaneously compounded minoxidil oral suspension.
Am J Health-Syst Pharm 2018 ;75,5: 309-315

  Mentions Légales