Ultimele actualizari :
31/03/2026
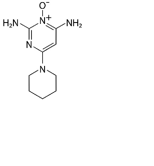
Vasodilatator   Minoxidil  
Soluţie orală
Unguente
Stabilitatea preparatelor farmaceutice Stabilitatea in amestec Factorii care influenteaza stabilitatea Compatibilitate Bibliografie pdf
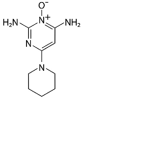
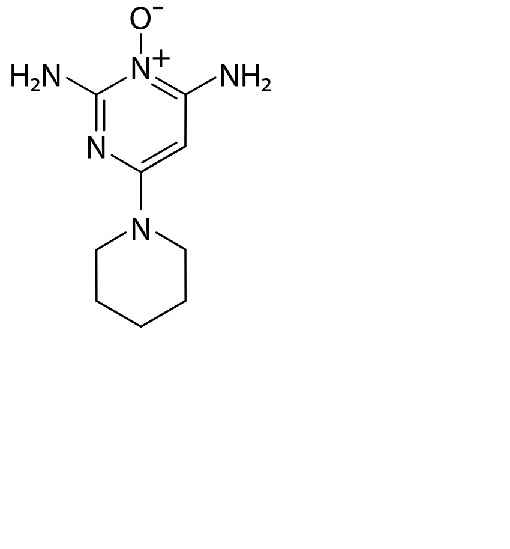
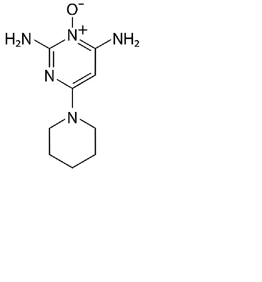
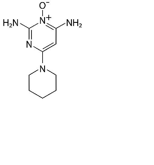
   Formula chimica  

Soluţie orală
Bibliografie   Soluţie orală   Bibliografie : Minoxidil  
tip publicare
4075 ziar Song Y, Whey Chin Z, Ellis D, Mon Phyo Lwin E, Turner S, Williams D, Garg S.
Stability of an extemporaneously compounded minoxidil oral suspension.
Am J Health-Syst Pharm 2018 ;75,5: 309-315

  Mentions Légales