Última actualización :
31/03/2026
Vasodilatador   Minoxidil  
Solución Oral
Preparaciones tópicas
La estabilidad de las preparaciones farmacéuticas Estabilidad en mezcla Factores que influyen sobre la estabilidad Compatibilidades Bibliografía pdf
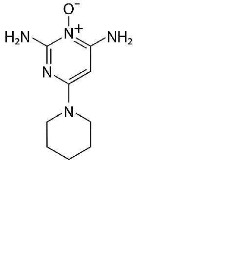
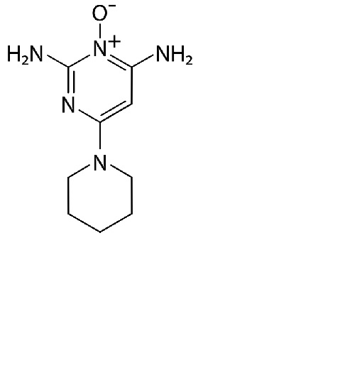
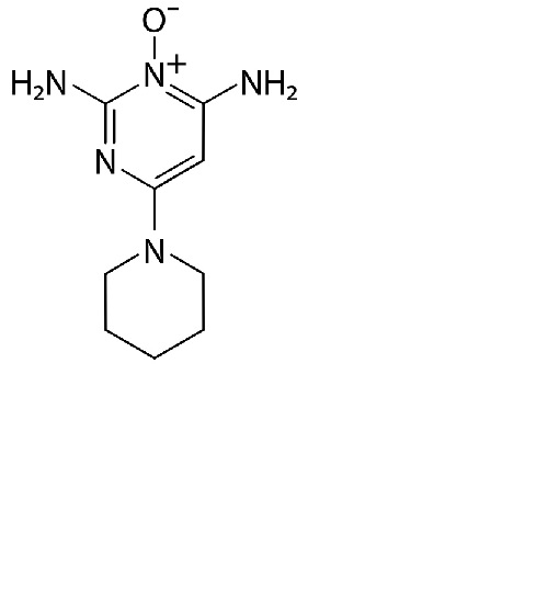
   Estructura química  

Solución Oral
Bibliografía   Solución Oral   Bibliografía : Minoxidil  
Tipo Publicación
4075 periódico Song Y, Whey Chin Z, Ellis D, Mon Phyo Lwin E, Turner S, Williams D, Garg S.
Stability of an extemporaneously compounded minoxidil oral suspension.
Am J Health-Syst Pharm 2018 ;75,5: 309-315

  Mentions Légales