Siste oppdatering :
31/03/2026
Vasodilatator   Minoxidil  
Mikstur
Salver
Stabilitet av farmasøytiske preparater Stabilitet i blandinger Faktorer som påvirker stabiliteten Kompatibilitet Referanser pdf
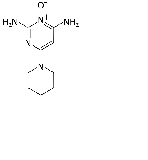
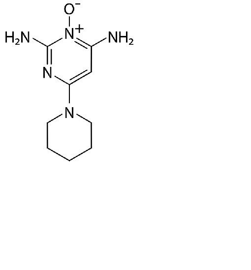
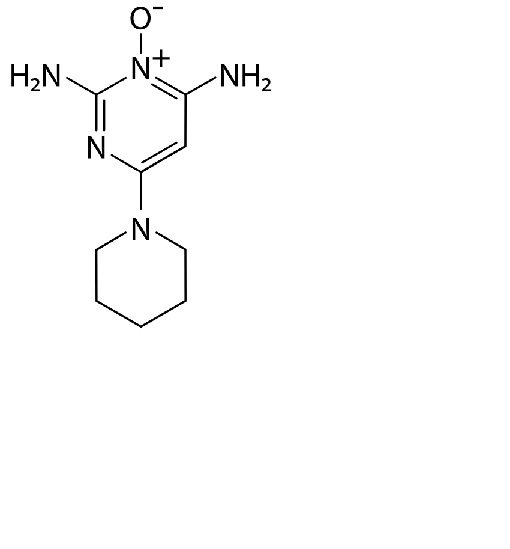
   Kjemisk struktur  

Mikstur
Referanser   Mikstur   Referanser : Minoxidil  
Type publikasjon
4075 Journal Song Y, Whey Chin Z, Ellis D, Mon Phyo Lwin E, Turner S, Williams D, Garg S.
Stability of an extemporaneously compounded minoxidil oral suspension.
Am J Health-Syst Pharm 2018 ;75,5: 309-315

  Mentions Légales