Pēdējā atjaunošana :
31/03/2026
Vazodiletators   Minoxidil  
Orāls šķīdums
Ziedes
Stabilitāte farmaceitisko preparātu Maisījuma stabilitāte Stabilitāti ietekmējoši faktori Saderība Literatūras saraksts pdf
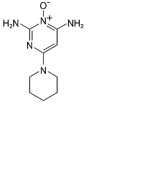
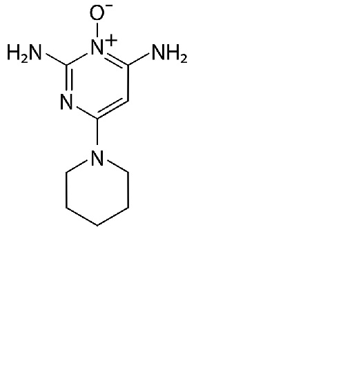
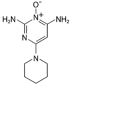
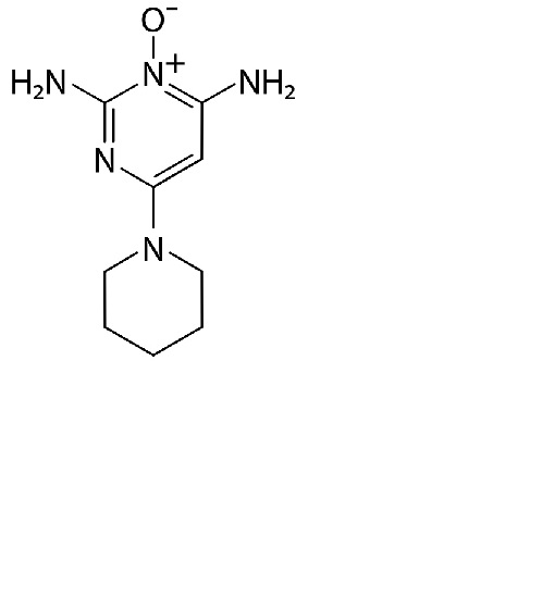
   Ķīmiskā uzbūve   

Orāls šķīdums
Literatūras saraksts   Orāls šķīdums   Literatūras saraksts : Minoxidil  
tips publicēšana
4075 Žurnāls Song Y, Whey Chin Z, Ellis D, Mon Phyo Lwin E, Turner S, Williams D, Garg S.
Stability of an extemporaneously compounded minoxidil oral suspension.
Am J Health-Syst Pharm 2018 ;75,5: 309-315

  Mentions Légales