Последно актуализиране :
31/03/2026
Вазодилататор   Minoxidil  
Орален разтвор
Унгвент/Унгвенти
Стабилност на лекарствени препарати Стабилност на смеси Фактори, повлияващи стабилността Съвместимост Библиография Pdf
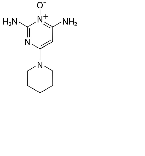
   Химична структура  

Орален разтвор
Библиография   Орален разтвор   Библиография : Minoxidil  
Вид Публикация
4075 Списание Song Y, Whey Chin Z, Ellis D, Mon Phyo Lwin E, Turner S, Williams D, Garg S.
Stability of an extemporaneously compounded minoxidil oral suspension.
Am J Health-Syst Pharm 2018 ;75,5: 309-315

  Mentions Légales