最新更新 :
27/11/2025
Infostab
薬剤一覧
まとめ一覧
互換性の検索
Yサイト対応表
引用文献
研究チーム
valistab
ポスター
接続
スポンサー
作成者
ユーザーガイド
ニュースレター
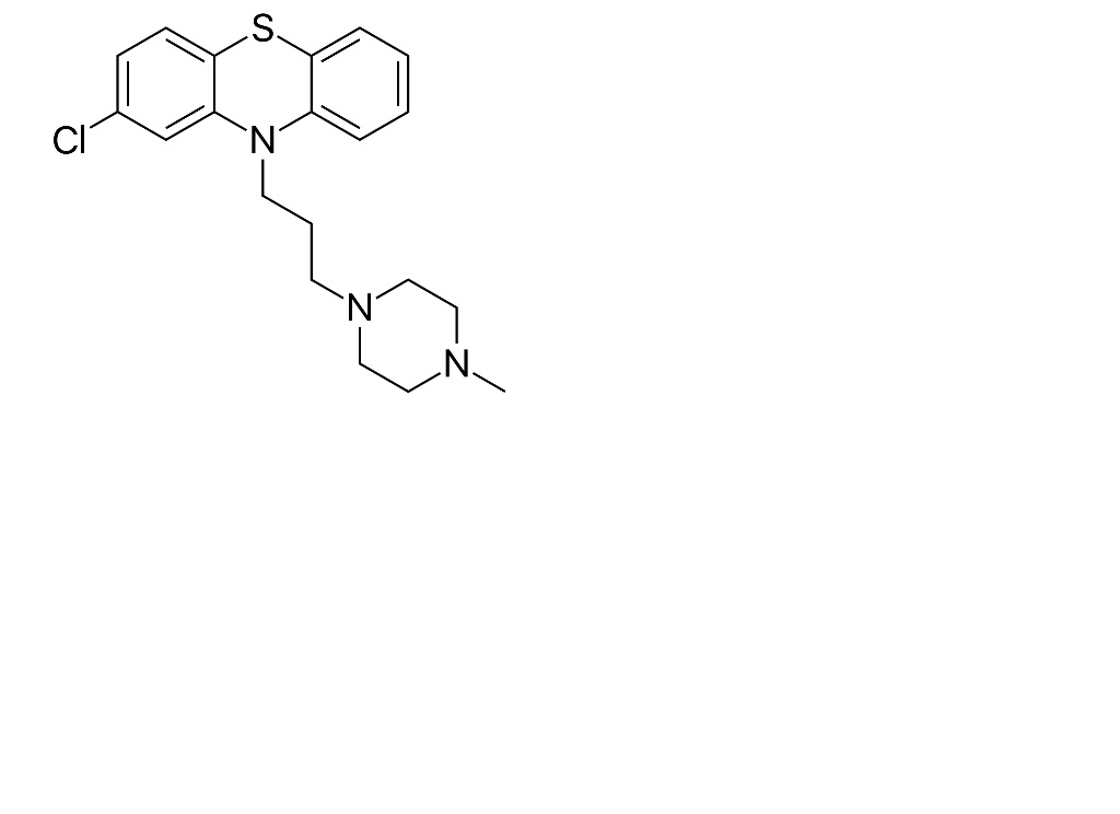
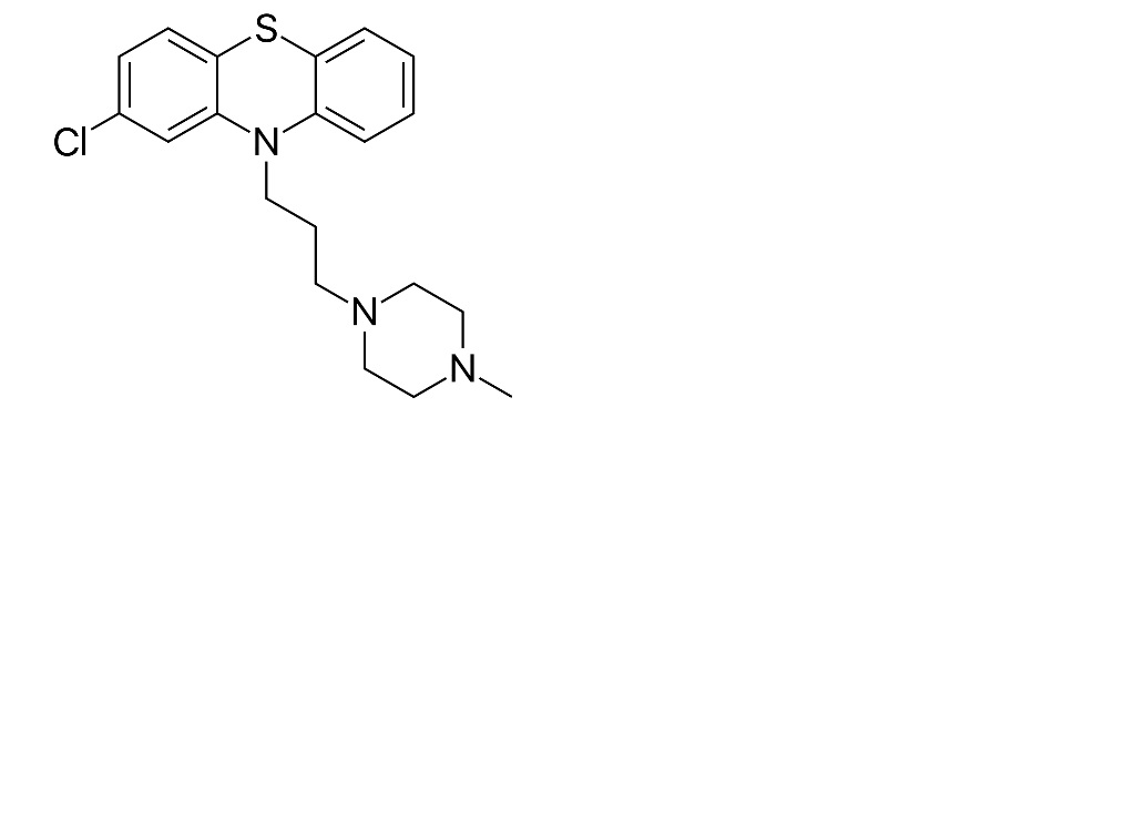
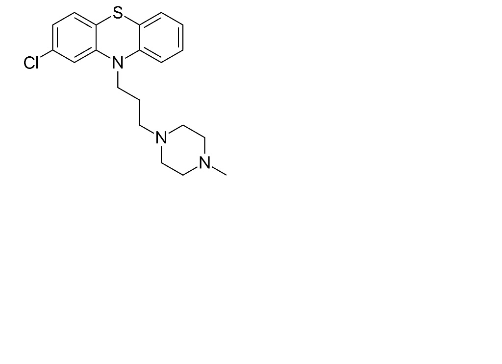
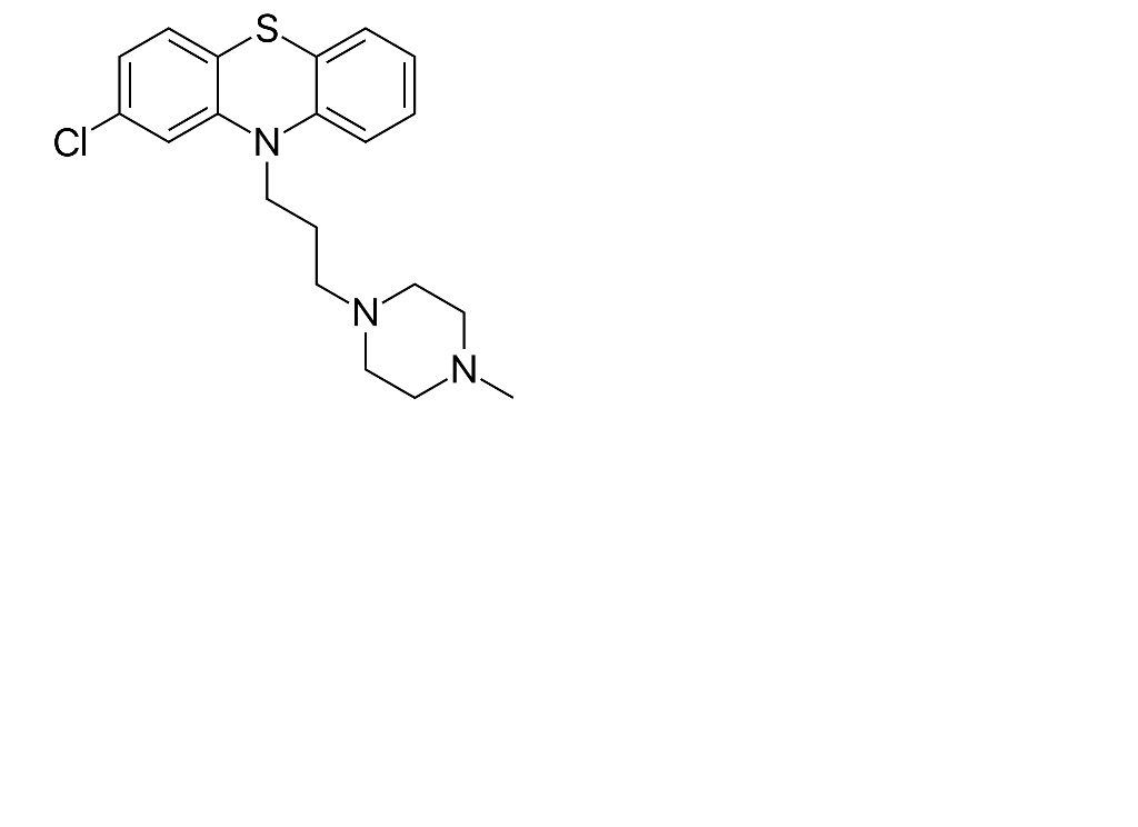
Prochlorperazine edysilate
化学構造
引用文献 : Prochlorperazine edysilate
形式
出版物
4054
雑誌
Yellepeddi V.
Stability of extemporaneously prepared preservative-free prochlorperazine nasal spray.
Am J Health-Syst Pharm 2018 , 75, 1: 28-35
Mentions Légales