Letztes “update” :
27/11/2025
Antiemetikum   Prochlorperazine edysilate  
Nasentropfen
Injektion
Stabilität von pharmazeutischen Präparaten Gemengestabilität Stabilitätbeeinflussende Faktoren Kompatibilitäten Literaturverzeichnis pdf
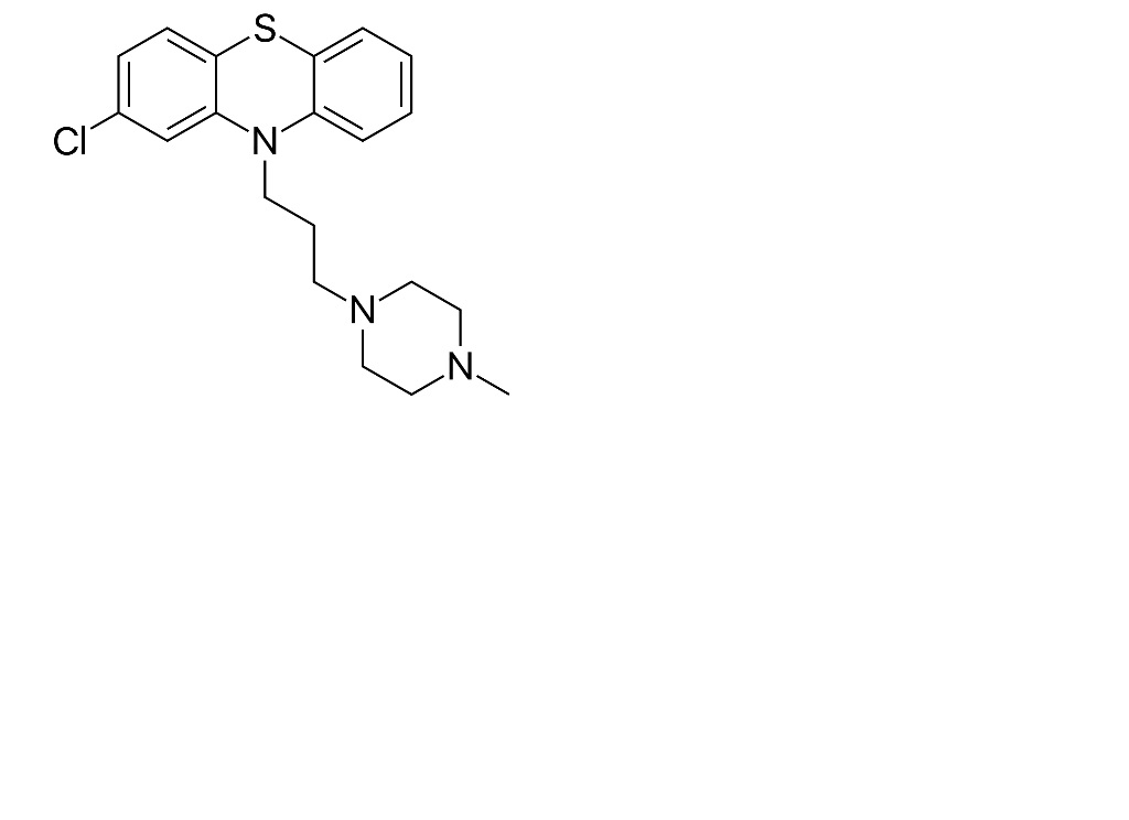
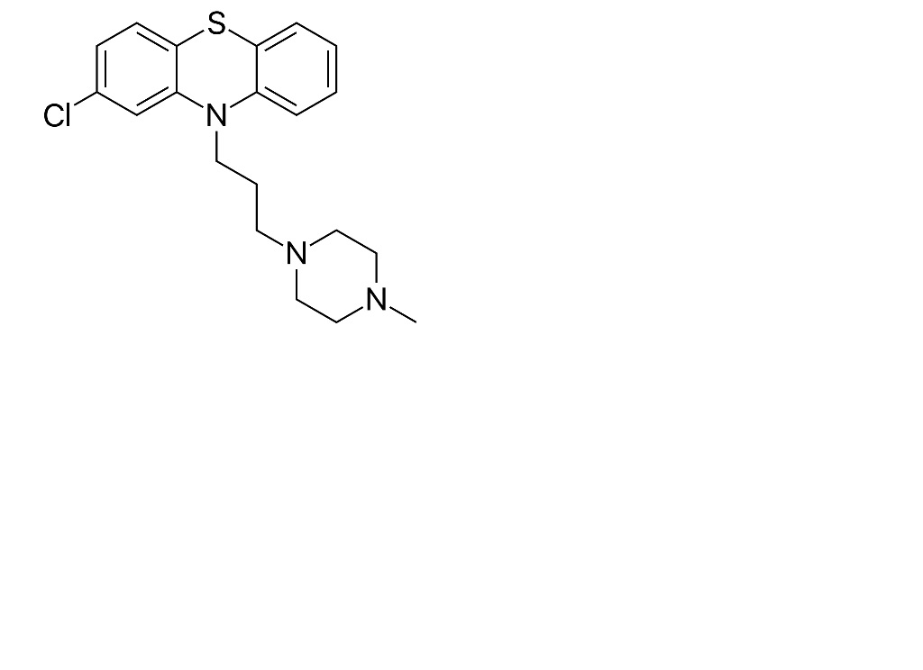
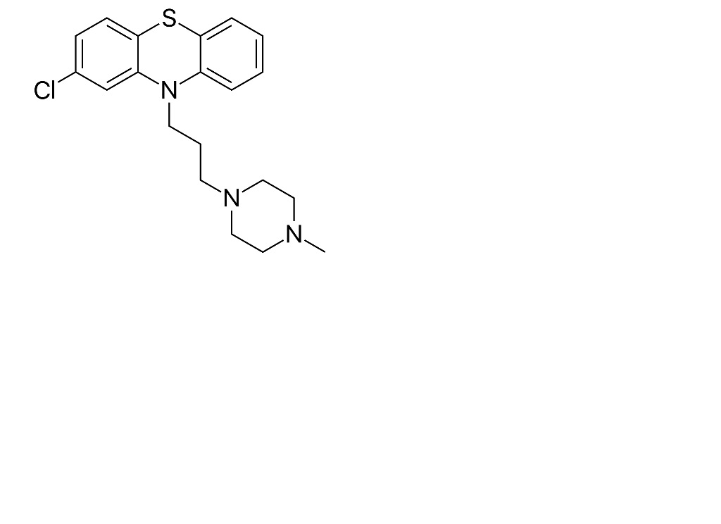
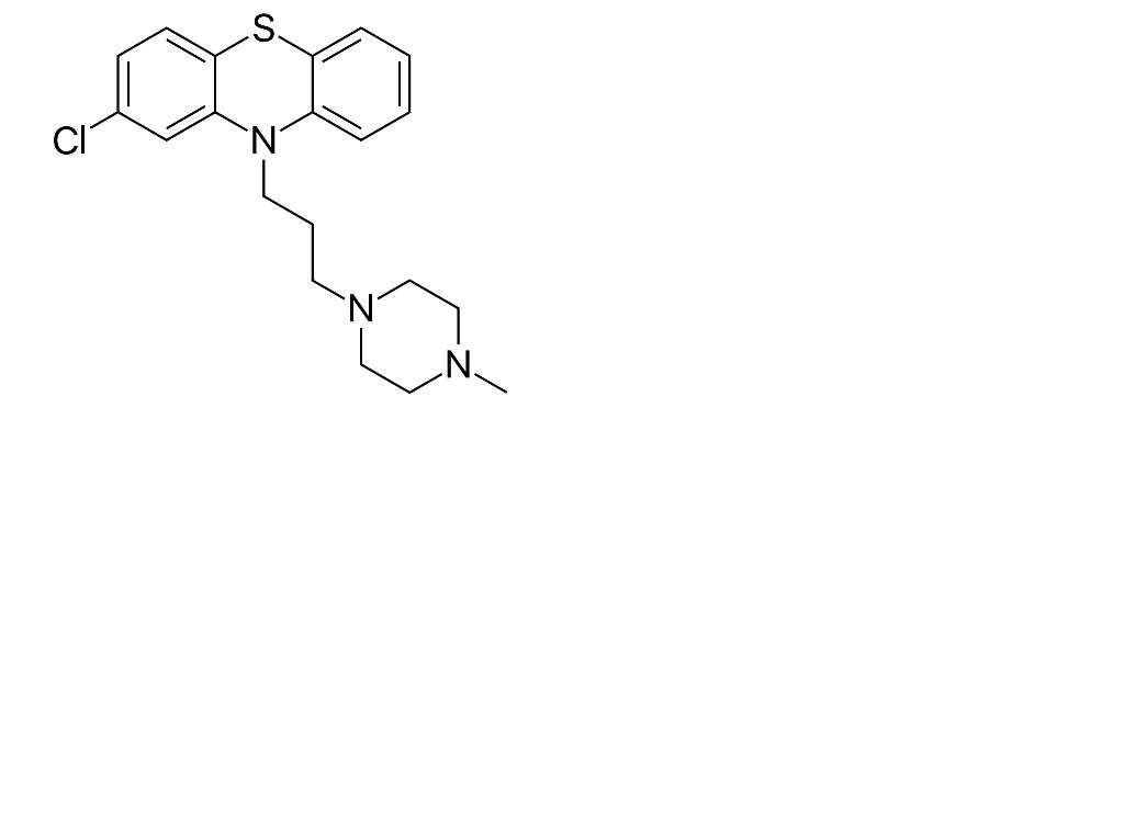
   Chemische Struktur  

Nasentropfen
Literaturverzeichnis   Nasentropfen   Literaturverzeichnis : Prochlorperazine edysilate  
Typ Veröffentlichung
4054 Zeitung Yellepeddi V.
Stability of extemporaneously prepared preservative-free prochlorperazine nasal spray.
Am J Health-Syst Pharm 2018 , 75, 1: 28-35

  Mentions Légales