Seneste opdatering :
18/03/2026
Antiemetisk   Prochlorperazine edysilate  
Næsedråber
Injektion
Stabilitet af farmaceutiske tilberedninger Stabilitet i blandinger Faktorer der påvirker stabiliteten Kompatibilitet Bibliografi pdf
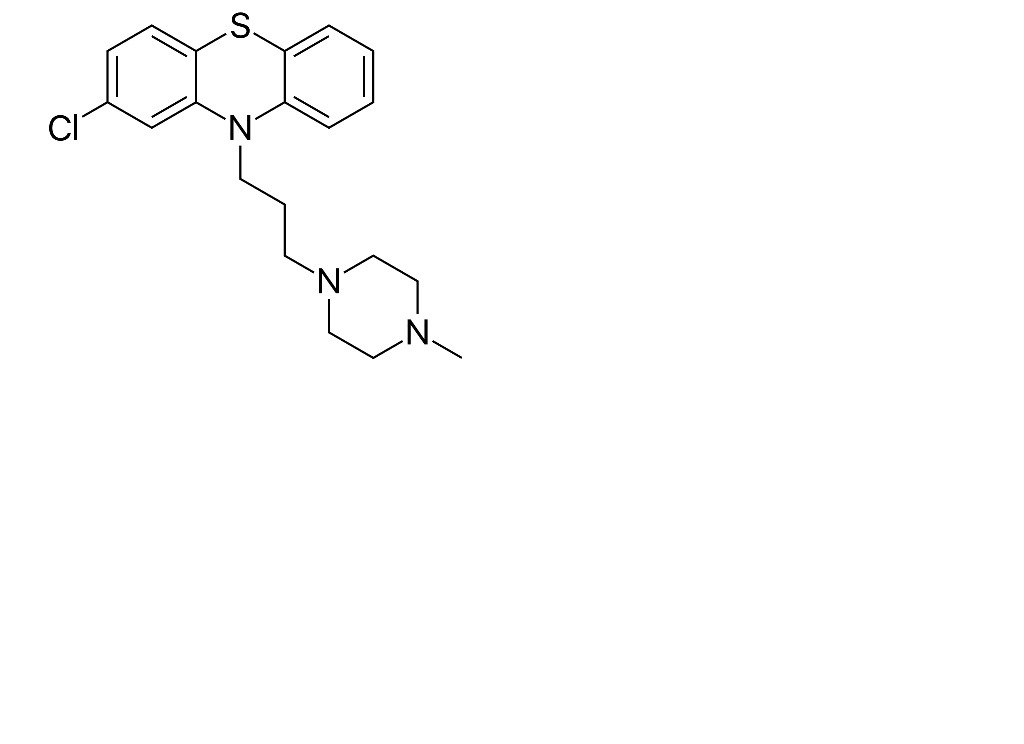
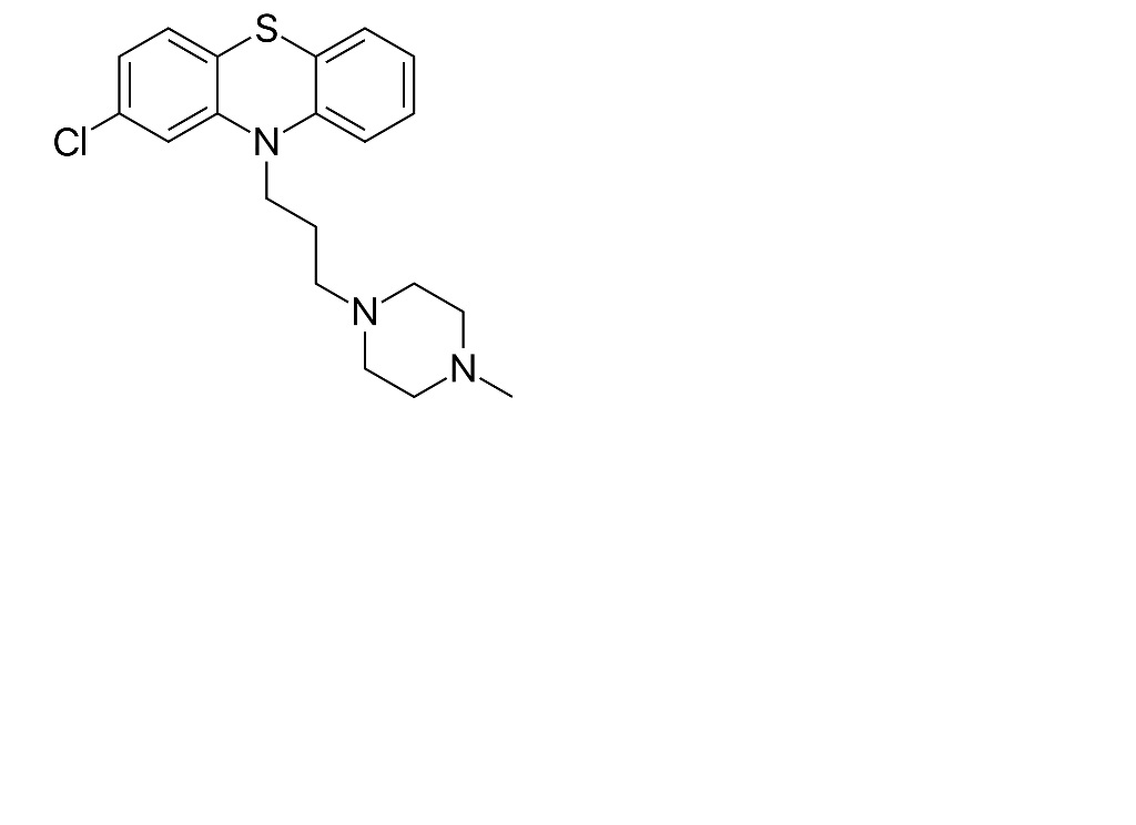
   Kemisk struktur  

Næsedråber
Bibliografi   Næsedråber   Bibliografi : Prochlorperazine edysilate  
Type offentliggørelse
4054 Journal Yellepeddi V.
Stability of extemporaneously prepared preservative-free prochlorperazine nasal spray.
Am J Health-Syst Pharm 2018 , 75, 1: 28-35

  Mentions Légales