Τελευταία ενημέρωση :
18/03/2026
Αντιεμετικό   Prochlorperazine edysilate  
Ρινικές σταγόνες
Ενέσιμο
Σταθερότητα και συμβατότητα των φαρμάκων Σταθερότητα σε μίγματα Παράγοντας που επηρεάζει τη σταθερότητα Συμβατότητες Βιβλιογραφία pdf
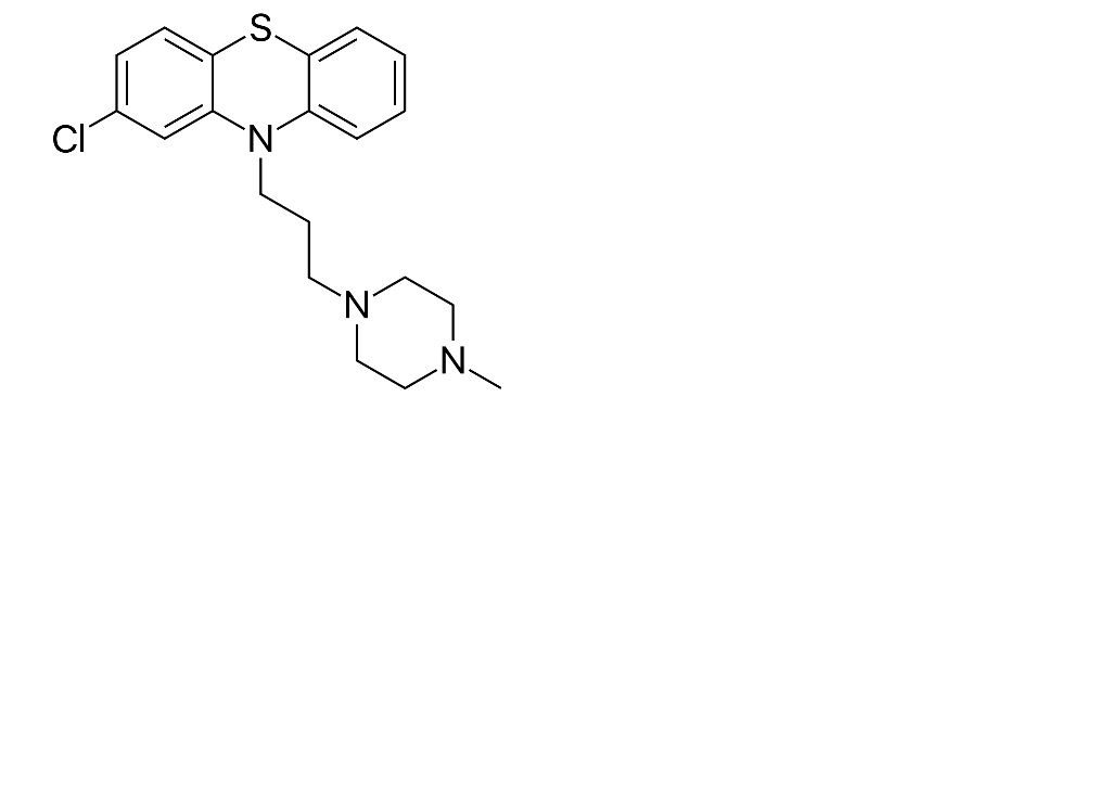
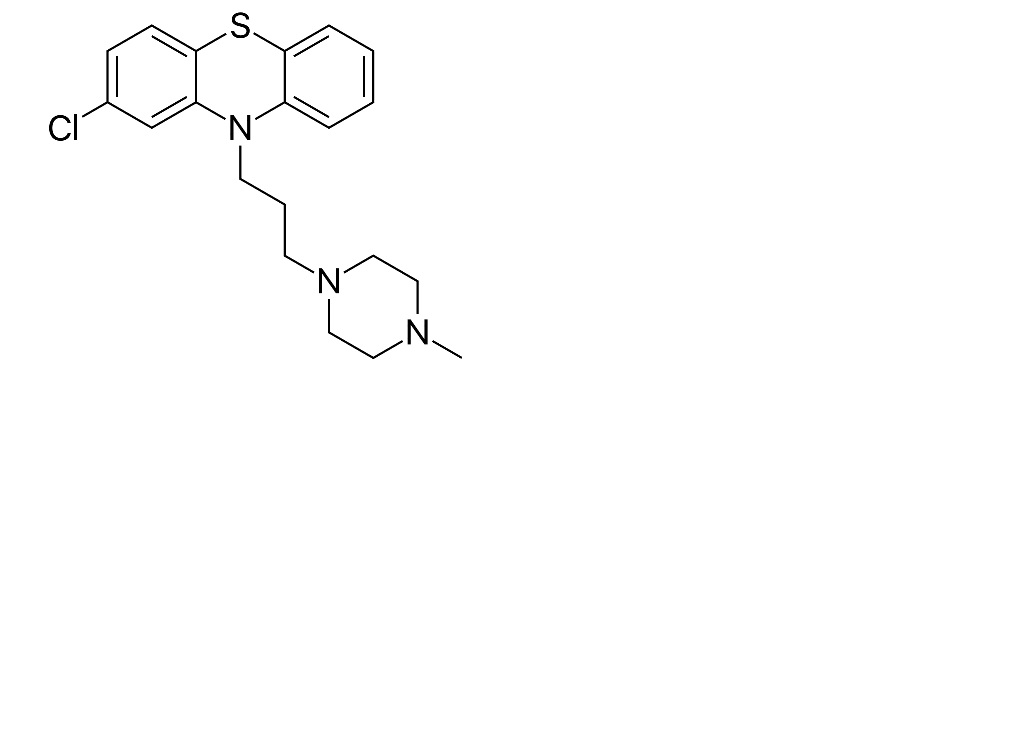
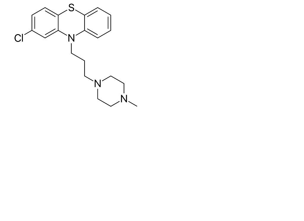
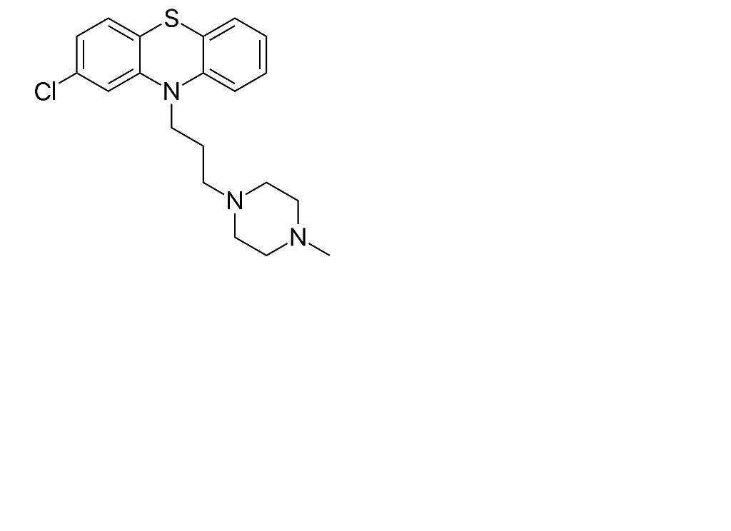
   χημική δομή  

Ρινικές σταγόνες
Βιβλιογραφία   Ρινικές σταγόνες   Βιβλιογραφία : Prochlorperazine edysilate  
τύπος δημοσίευση
4054 εφημερίδα Yellepeddi V.
Stability of extemporaneously prepared preservative-free prochlorperazine nasal spray.
Am J Health-Syst Pharm 2018 , 75, 1: 28-35

  Mentions Légales