آخر تحديث :
18/03/2026
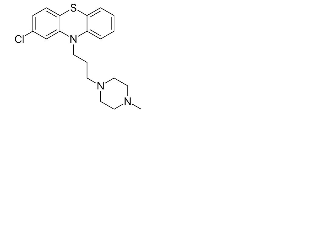
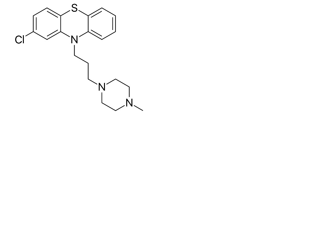
مضاد للقىء   Prochlorperazine edysilate  
قطرات الأنف
حقن
استقرار المستحضرات الصيدلانية استقرار مخاليط العوامل التي تؤثر على الاستقرار التوافق مراجع pdf
   التركيب الكيميائي  

قطرات الأنف
مراجع   قطرات الأنف   مراجع : Prochlorperazine edysilate  
نوع منشور
4054 مجلة Yellepeddi V.
Stability of extemporaneously prepared preservative-free prochlorperazine nasal spray.
Am J Health-Syst Pharm 2018 , 75, 1: 28-35

  Mentions Légales