Poslední aktualizace :
27/11/2025
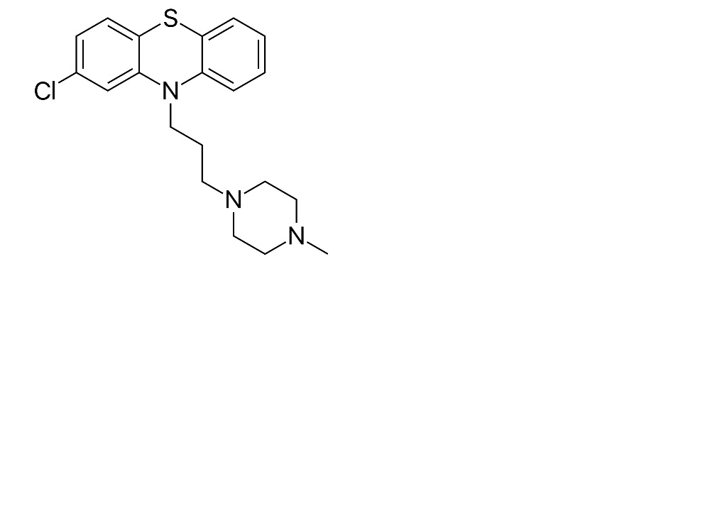
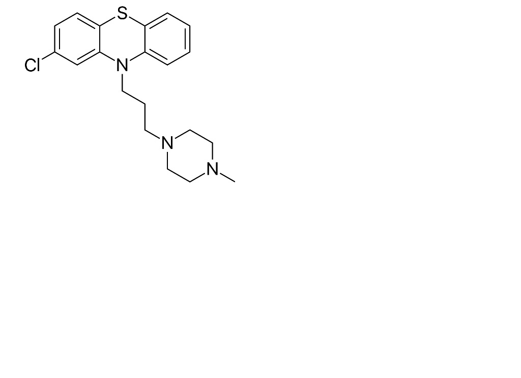
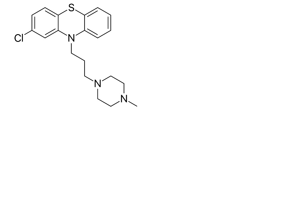
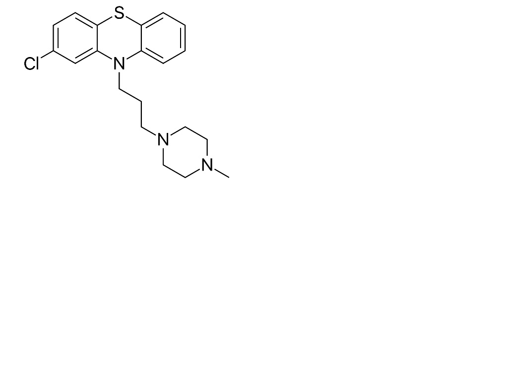
Antiemetikum   Prochlorperazine edysilate  
nosní kapky
injekce
Stabilita farmaceutických přípravků Stabilita směsí Faktory ovlivňující stabilitu Kompatibilita Odkazy pdf
   Chemický vzorec  

nosní kapky
Odkazy   nosní kapky   Odkazy : Prochlorperazine edysilate  
typ uveřejnění
4054 noviny Yellepeddi V.
Stability of extemporaneously prepared preservative-free prochlorperazine nasal spray.
Am J Health-Syst Pharm 2018 , 75, 1: 28-35

  Mentions Légales