Ultimo aggiornamento :
18/03/2026
Antiemetico   Prochlorperazine edysilate  
gocce nasali
Iniezione
Stabilità dei preparati farmaceutici Stabilità in miscela Fattori che influenzano la stabilità Compatibilità Bibliografia pdf
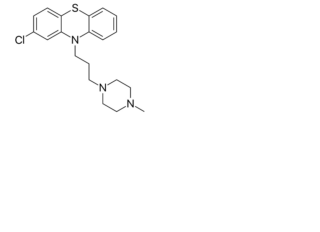
   Struttura chimica  

gocce nasali
Bibliografia   gocce nasali   Bibliografia : Prochlorperazine edysilate  
tipo pubblicazione
4054 Rivista Yellepeddi V.
Stability of extemporaneously prepared preservative-free prochlorperazine nasal spray.
Am J Health-Syst Pharm 2018 , 75, 1: 28-35

  Mentions Légales