Последнее обновление :
17/12/2025
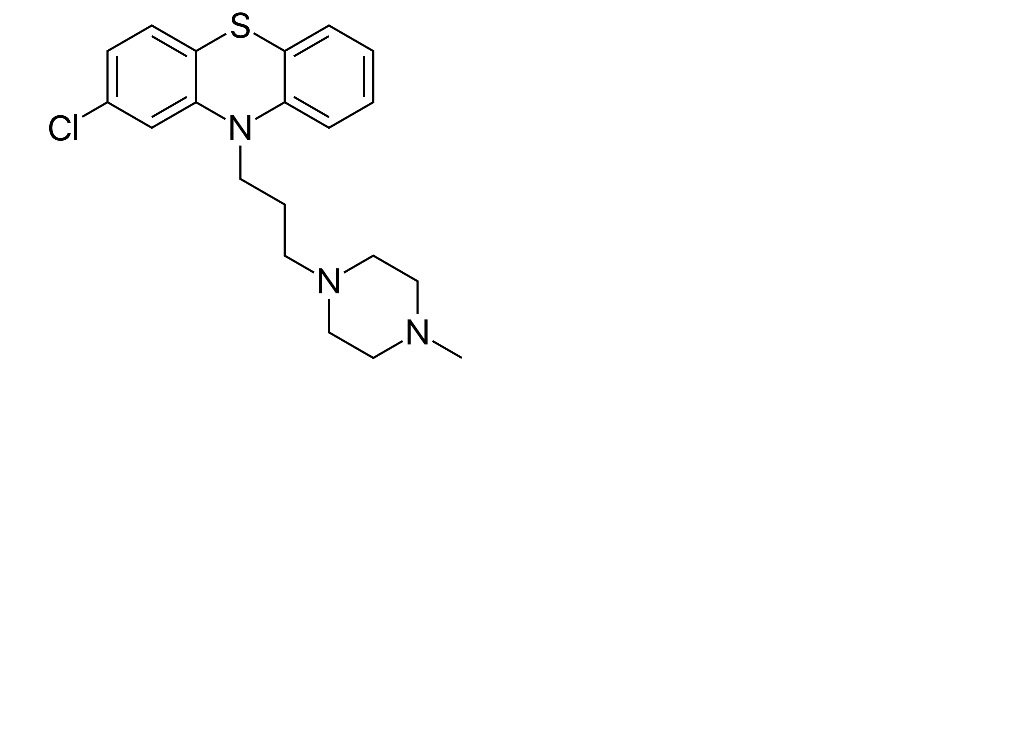
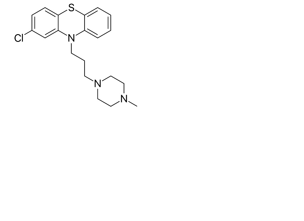
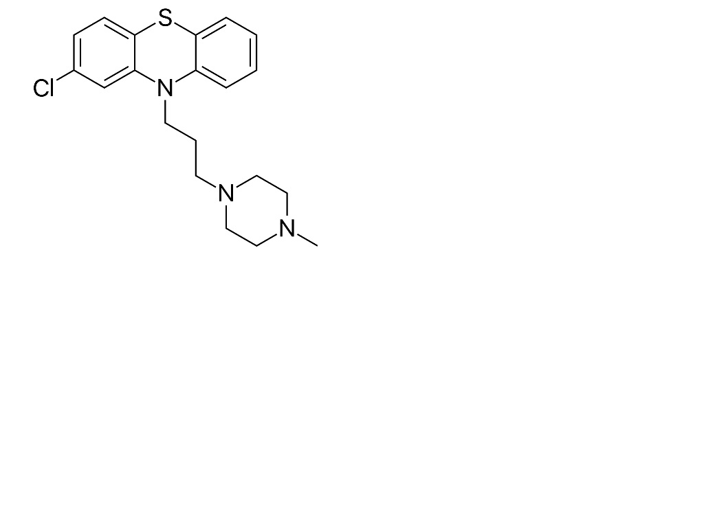
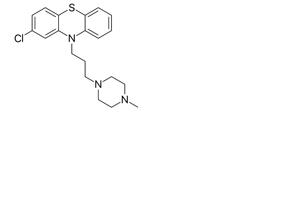
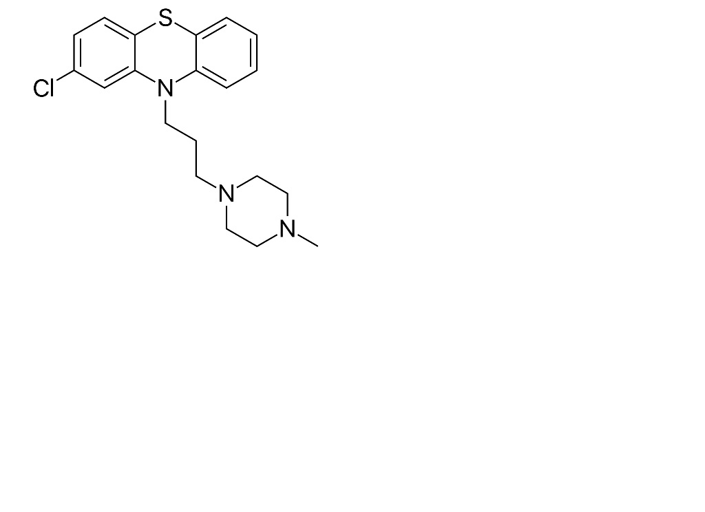
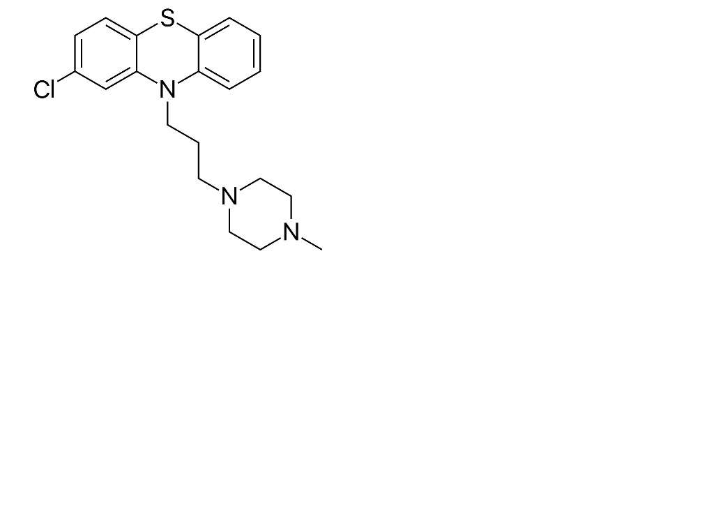
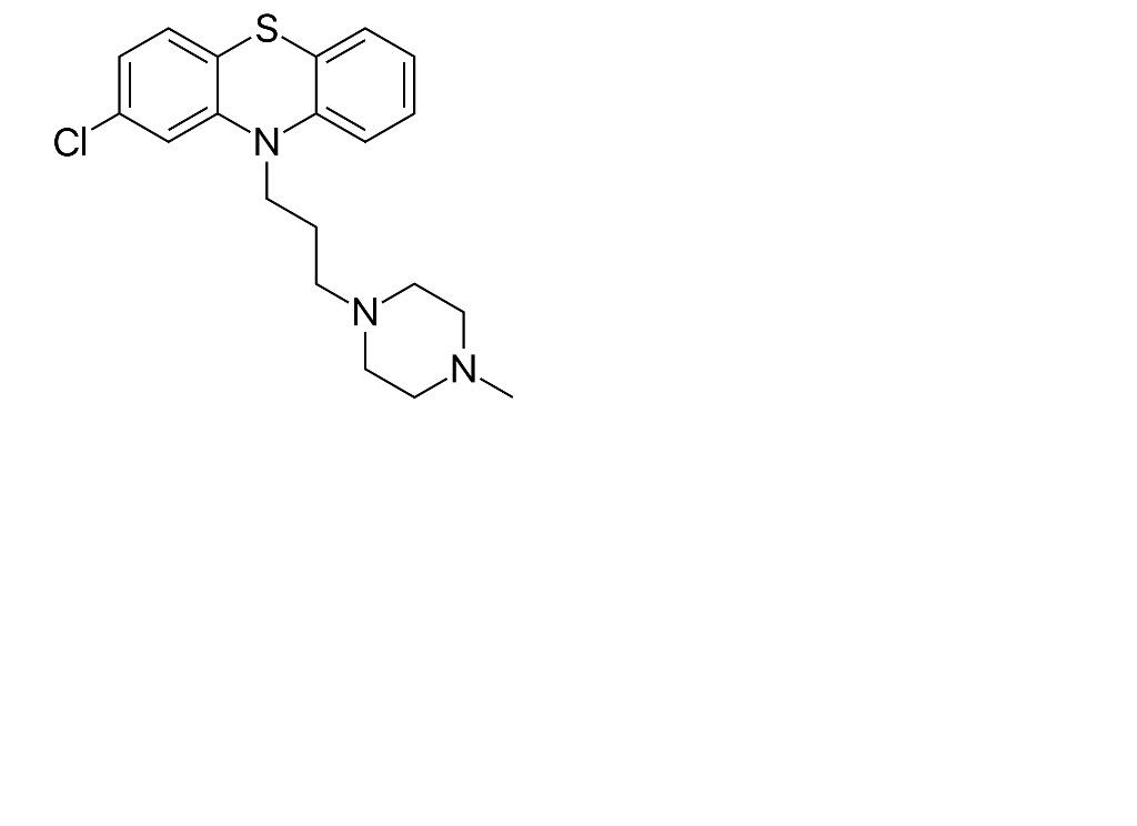
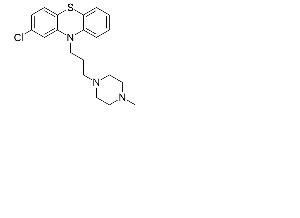
Противорвотный   Prochlorperazine edysilate  
Капли в нос
Инъекция
Стабильность фармацевтических препаратов Стабильность смесей Факторы, которые влияют на стабильность Совместимость Библиография pdf
   Химическая структура  

Капли в нос
Стабильность фармацевтических препаратов   Капли в нос   Стабильность фармацевтических препаратов : Prochlorperazine edysilate     
Упаковка Origine Наполнитель Температура Хранение Продолжительность стабильности Ссылки
Пластиковая бутылка Порошок 250 mg
Лимонная кислота 5 mg
Хлорид натрия 0,9% 450 mg
Очищенная вода >> 50 mL
Соляная кислота 0.1N pH 2.5
22°C Защищён от света
60 День
4054


  Mentions Légales