Laatste update :
27/11/2025
Anti-emeticum   Prochlorperazine edysilate  
neusdruppels
injecteerbaar geneesmiddel
Stabiliteit van farmaceutische preparaten Stabiliteit in mengsels Factoren die de stabiliteit beïnvloeden Verenigbaarheden Literatuur pdf
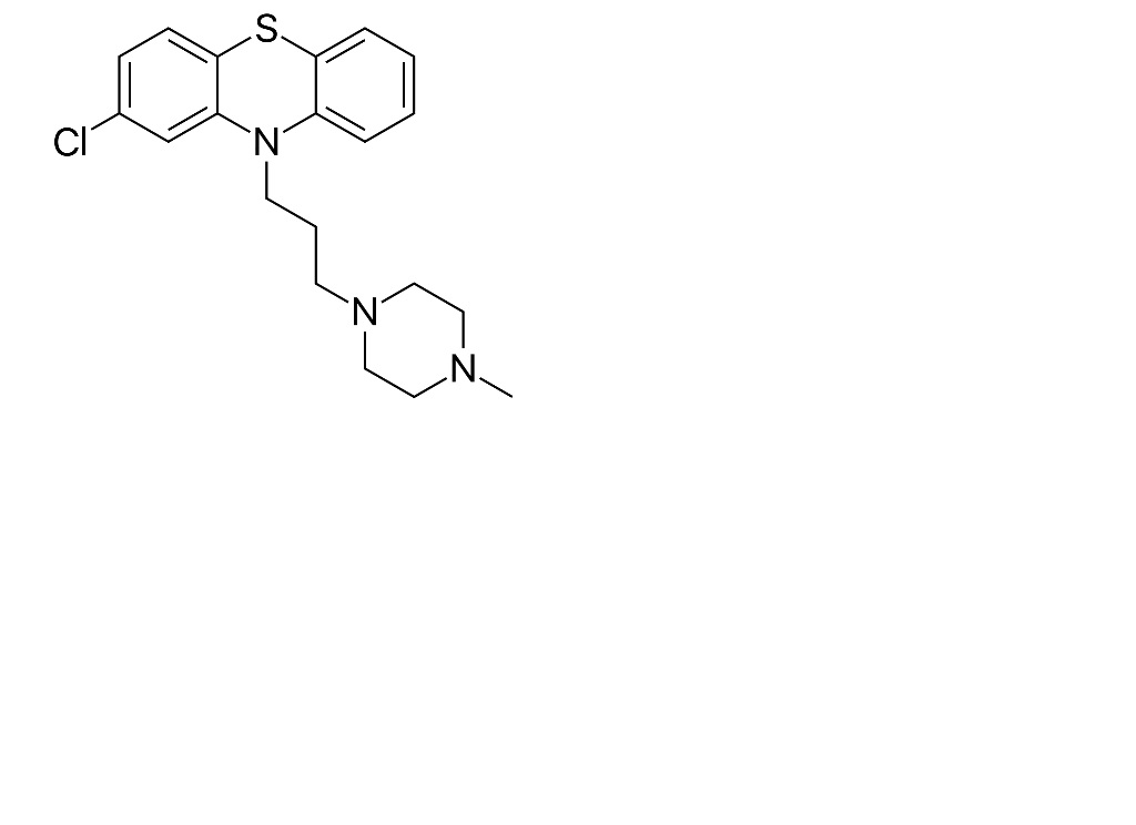
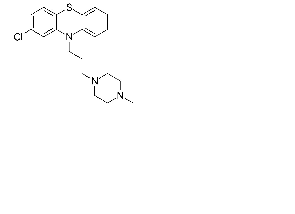
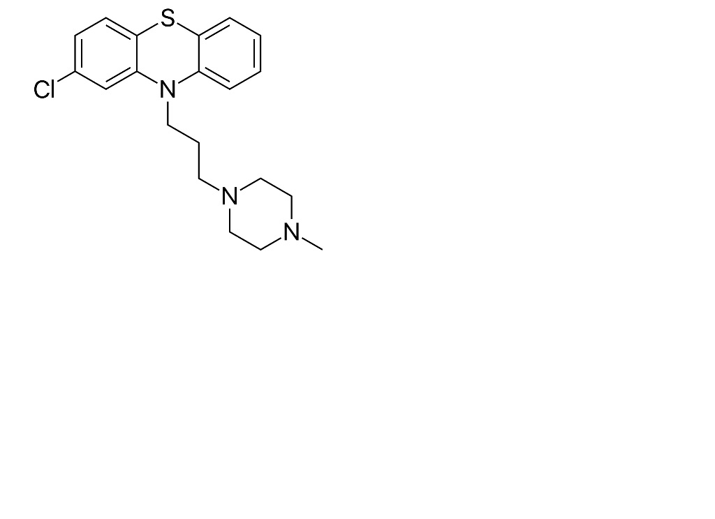
   Molecuulstructuur  

neusdruppels
Stabiliteit van farmaceutische preparaten   neusdruppels   Stabiliteit van farmaceutische preparaten : Prochlorperazine edysilate     
Verpakking Origine  ikˈsipēənt hulpstof Temperatuur Bewaring Duur van de stabiliteit Literatuur
plastic fles poeder 250 mg
citroenzuur 5 mg
NaCl 0.9% 450 mg
gezuiverd water >> 50 mL
zoutzuur 0.1N pH 2.5
22°C Buiten invloed van licht
60 Dag
4054


  Mentions Légales