Τελευταία ενημέρωση :
27/11/2025
Αντιεμετικό   Prochlorperazine edysilate  
Ρινικές σταγόνες
Ενέσιμο
Σταθερότητα και συμβατότητα των φαρμάκων Σταθερότητα σε μίγματα Παράγοντας που επηρεάζει τη σταθερότητα Συμβατότητες Βιβλιογραφία pdf
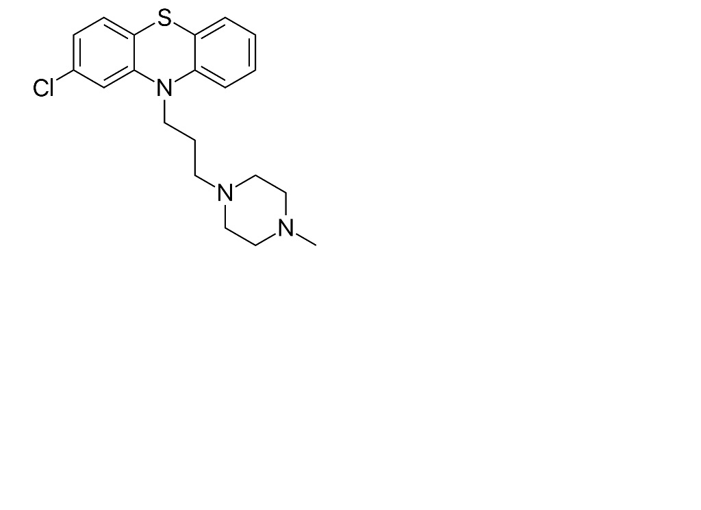
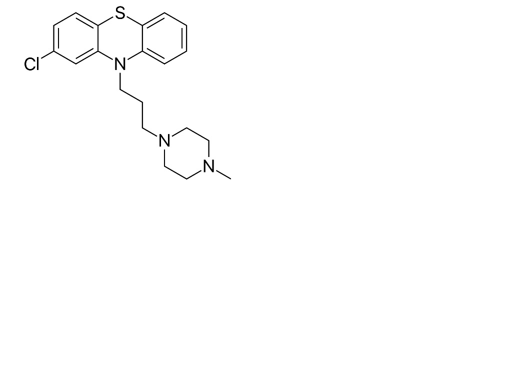
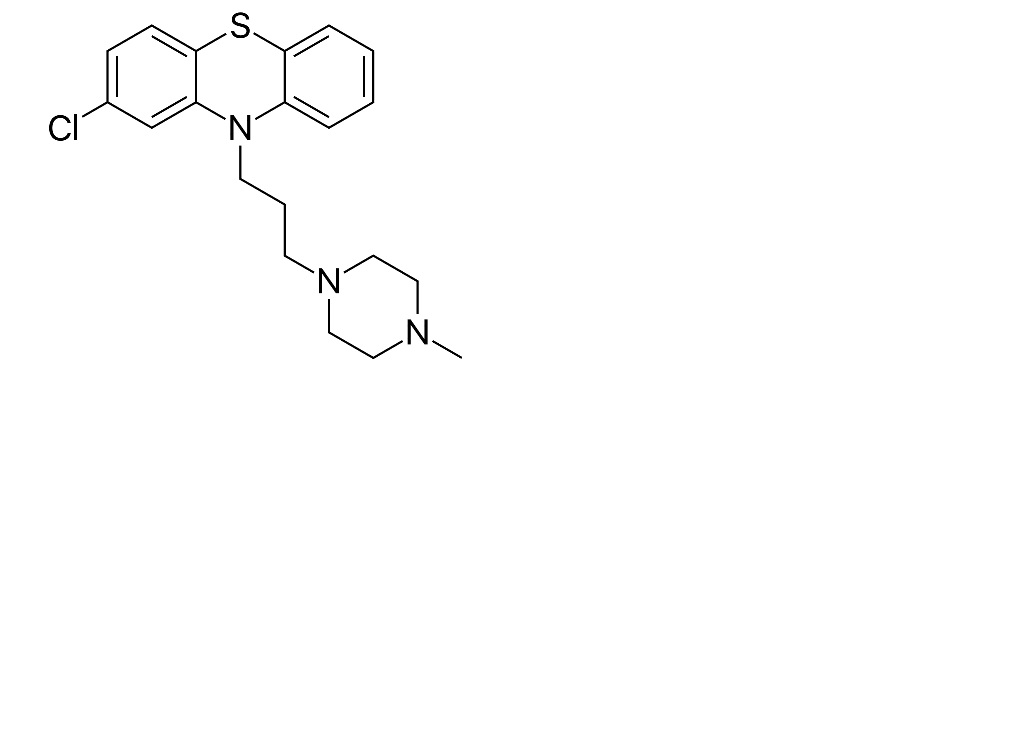
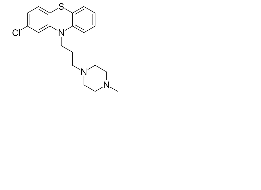
   χημική δομή  

Ρινικές σταγόνες
Σταθερότητα και συμβατότητα των φαρμάκων   Ρινικές σταγόνες   Σταθερότητα και συμβατότητα των φαρμάκων : Prochlorperazine edysilate     
Υποδοχέας Origine Έκδοχο Θερμοκρασία Αποθήκευση Διάρκεια σταθερότητας Βιβλιογραφία
Πλαστικό μπουκάλι Σκόνη 250 mg
Κιτρικό οξύ 5 mg
NaCl 0.9% 450 mg
Κεκαθαρμένο νερό >> 50 mL
Υδροχλωρικό οξύ 0.1N pH 2.5
22°C Προστατεύετε από το φως
60 Ημέρα
4054


  Mentions Légales