Siste oppdatering :
27/11/2025
Antiemetika   Prochlorperazine edysilate  
Nesedråper
Injeksjon
Stabilitet av farmasøytiske preparater Stabilitet i blandinger Faktorer som påvirker stabiliteten Kompatibilitet Referanser pdf
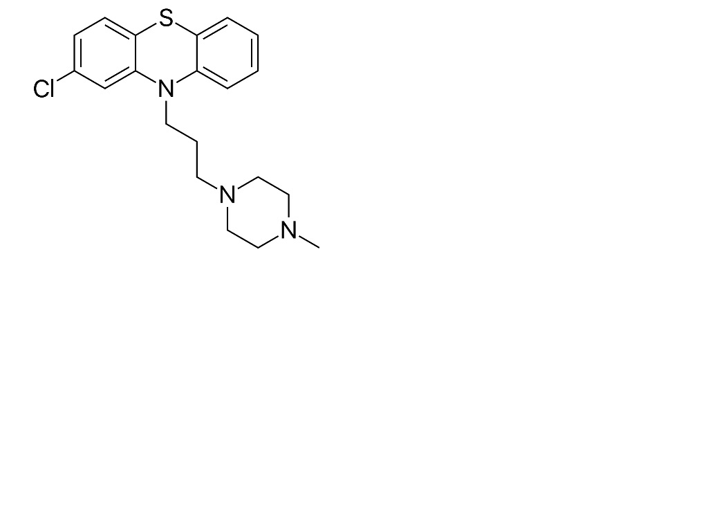
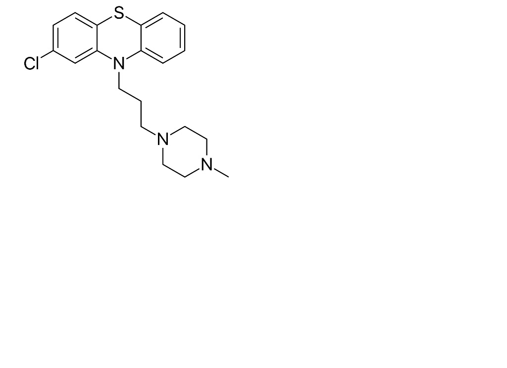
   Kjemisk struktur  

Nesedråper
Stabilitet av farmasøytiske preparater   Nesedråper   Stabilitet av farmasøytiske preparater : Prochlorperazine edysilate     
Beholder Origine Hjelpestoff Temperatur Oppbevaring Varighet av stabilitet Referanser
Plastflaske Pulver 250 mg
Sitronsyre 5 mg
NaCl 0.9% 450 mg
Renset vann >> 50 mL
Saltsyre 0.1N pH 2.5
22°C Beskyttes mot lys
60 Dag
4054


  Mentions Légales