Poslední aktualizace :
27/11/2025
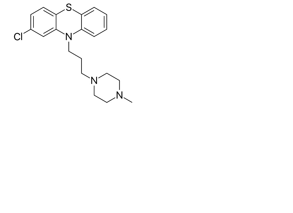
Antiemetikas   Prochlorperazine edysilate  
Lašai į nosį
Įpurškimas
Stabilumas farmacinių preparatų Mišinių stabilumas Stabilumą lemiantys veiksniai Suderinamumas Bibliografija pdf
   Cheminė sandara  

Lašai į nosį
Stabilumas farmacinių preparatų   Lašai į nosį   Stabilumas farmacinių preparatų : Prochlorperazine edysilate     
Pakuotė Origine Ekscipientas Temperatūra Laikymas Stabilumo trukmė Nuorodos
Plastikinis butelis Milteliai 250 mg
Citrinos rūgštis 5 mg
NaCl 0,9 % 450 mg
Išvalytas vanduo >> 50 mL
Vandenilio chloridas 0.1N pH 2.5
22°C Apsaugotas nuo šviesos
60 Diena
4054


  Mentions Légales