Viimeisin päivitys :
17/12/2025
Pahoinvontilääkkeet   Prochlorperazine edysilate  
Nenätipat
Injektioneste
Vakaus lääkevalmisteen Stabilius seoksissa Tekijät, jotka vaikuttavat stabiliuteen Yhteensopivuus Viitteet pdf
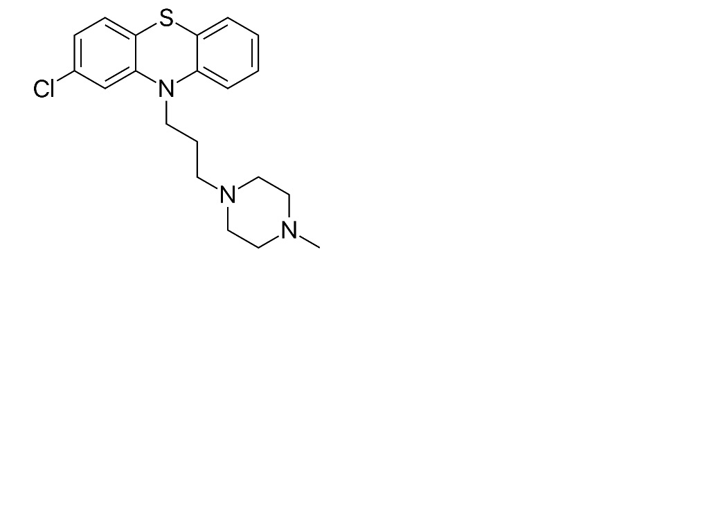
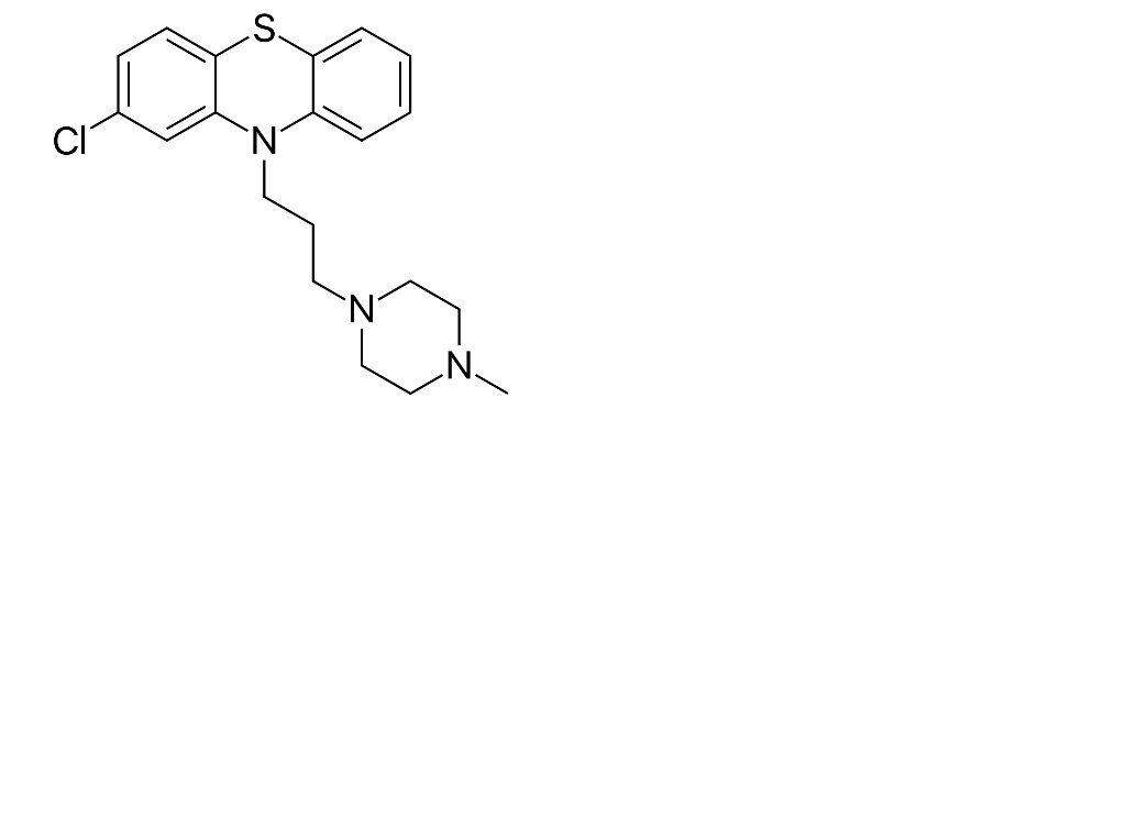
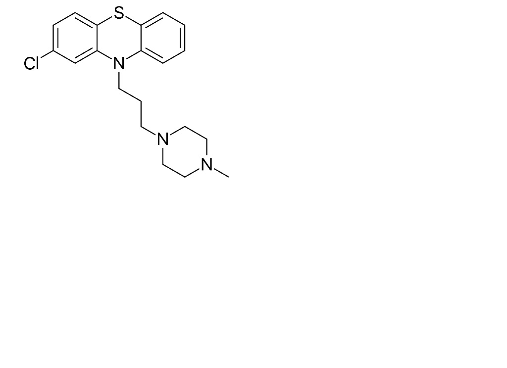
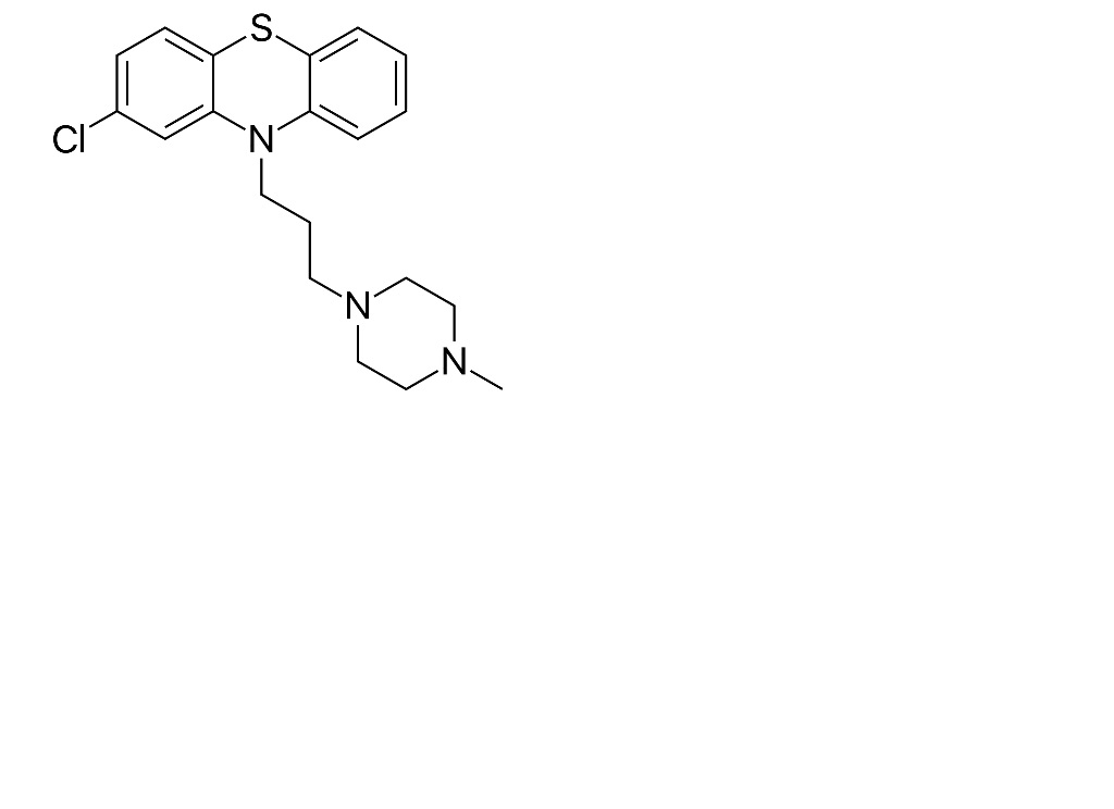
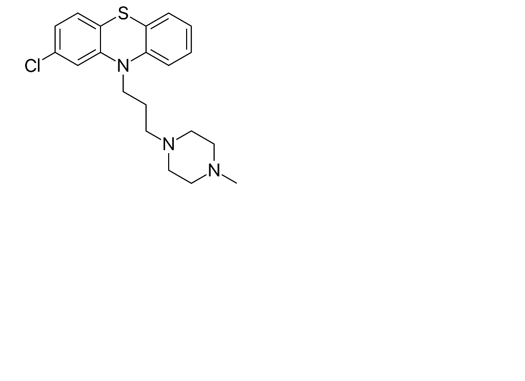
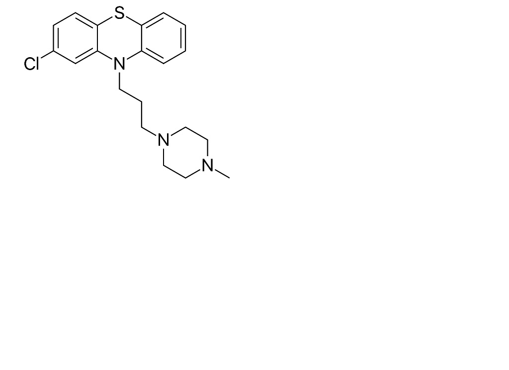
   Kemiallinen rakenne  

Nenätipat
Vakaus lääkevalmisteen   Nenätipat   Vakaus lääkevalmisteen : Prochlorperazine edysilate     
Astia Origine Apuaine Lämpötila Säilytys Vakauden kesto Viitteet
Muovipullo Jauhe 250 mg
Sitruunahappo 5 mg
NaCl 0,9 % 450 mg
Puhdistettu vesi >> 50 mL
Vetykloridihappo 0.1N pH 2.5
22°C Suojattava valolta
60 Päivä
4054


  Mentions Légales