Dernière mise à jour :
17/12/2025
Antiémétique   Prochlorperazine edysilate  
Gouttes nasales
injectable
Stabilité des préparations Stabilité en mélange Facteur influençant la stabilité Compatibilités Bibliographie pdf
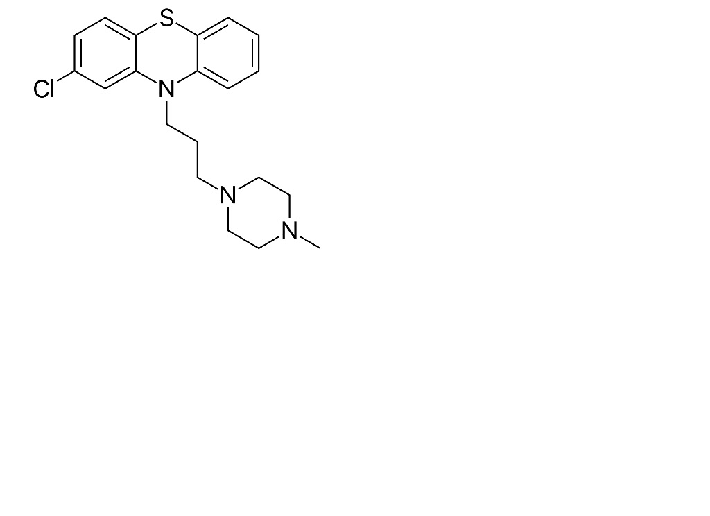
   Structure chimique  

Gouttes nasales
Stabilité des préparations   Gouttes nasales   Stabilité des préparations : Prochlorperazine edysilate     
Contenant Origine Excipient Température Conservation Durée de stabilité Bibliographie
Flacon plastique Poudre 250 mg
acide citrique 5 mg
NaCl 0.9% 450 mg
Eau purifiée >> 50 mL
Acide chlorhydrique 0.1N pH 2.5
22°C A l’abri de la lumière
60 Jour
4054


  Mentions Légales