Son güncelleme :
18/03/2026
Antiepileptik   Topiramate  
Oral solüsyon / oral çözelti
Farmasötik preparatlar Kararlılığı Karışımlardaki stabilitesi Stabiliteyi etkileyen faktörler Uyumluluk Kaynaklar pdf
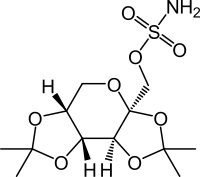
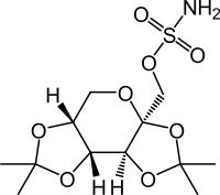
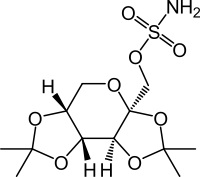
   Kimyasal yapı   

Oral solüsyon / oral çözelti

Stabiliteyi etkileyen faktörler    Oral solüsyon / oral çözelti   Stabiliteyi etkileyen faktörler : Topiramate        
veri yok

  Mentions Légales