Laatste update :
23/03/2026
Anti-epilepticum   Topiramate  
Orale Oplossing
Stabiliteit van farmaceutische preparaten Stabiliteit in mengsels Factoren die de stabiliteit beïnvloeden Verenigbaarheden Literatuur pdf
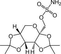
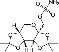
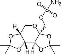
   Molecuulstructuur  

Orale Oplossing

Factoren die de stabiliteit beïnvloeden   Orale Oplossing   Factoren die de stabiliteit beïnvloeden : Topiramate        
geen gegevens

  Mentions Légales