Seneste opdatering :
23/03/2026
Antiepileptisk   Topiramate  
Oral opløsning
Stabilitet af farmaceutiske tilberedninger Stabilitet i blandinger Faktorer der påvirker stabiliteten Kompatibilitet Bibliografi pdf
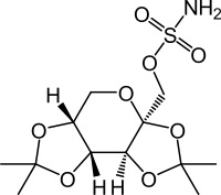
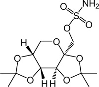
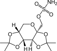
   Kemisk struktur  

Oral opløsning

Faktorer der påvirker stabiliteten   Oral opløsning   Faktorer der påvirker stabiliteten : Topiramate        
Ingen data

  Mentions Légales