Senaste uppdateringen :
18/03/2026
Antiepileptikum   Topiramate  
Oral lösning
Stabilitet av läkemedel Stabilitet i blandningar Faktorer som påverkar stabiliteten Kompatibilitet Hänvisningar pdf
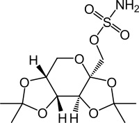
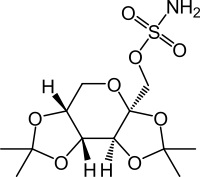
   Molekylstruktur  

Oral lösning

Faktorer som påverkar stabiliteten   Oral lösning   Faktorer som påverkar stabiliteten : Topiramate        
Ingen uppgift

  Mentions Légales