Zadnji put ažurirano :
18/03/2026
antiepileptik   Topiramate  
oralna otopina
Stabilnost farmaceutskih pripravaka Stabilnost mješavine Stabilizacijski faktor Kompatibilnosti Bibliografija pdf
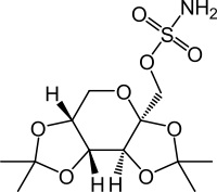
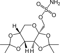
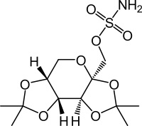
   Kemijska struktura  

oralna otopina

Stabilizacijski faktor   oralna otopina     Stabilizacijski faktor : Topiramate        
bez podataka

  Mentions Légales