Τελευταία ενημέρωση :
23/03/2026
Αντιεπιληπτικό   Topiramate  
Πόσιμο διάλυμα
Σταθερότητα και συμβατότητα των φαρμάκων Σταθερότητα σε μίγματα Παράγοντας που επηρεάζει τη σταθερότητα Συμβατότητες Βιβλιογραφία pdf
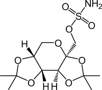
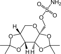
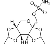
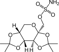
   χημική δομή  

Πόσιμο διάλυμα

Παράγοντας που επηρεάζει τη σταθερότητα   Πόσιμο διάλυμα   Παράγοντας που επηρεάζει τη σταθερότητα : Topiramate        
Δεν υπάρχουν πληροφορίες

  Mentions Légales