Last update :
18/03/2026
Antiepileptic   Topiramate  
Oral solution
Stability of pharmaceutical preparations Stability of mixtures Factors which affect stability Compatibility References pdf
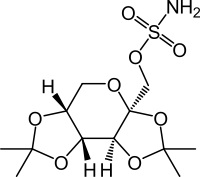
   Chemical structure  

Oral solution

Factors which affect stability   Oral solution   Factors which affect stability : Topiramate        
No data

  Mentions Légales