Siste oppdatering :
31/03/2026
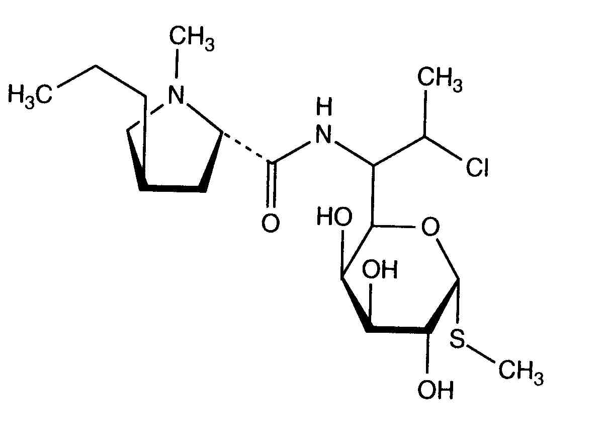
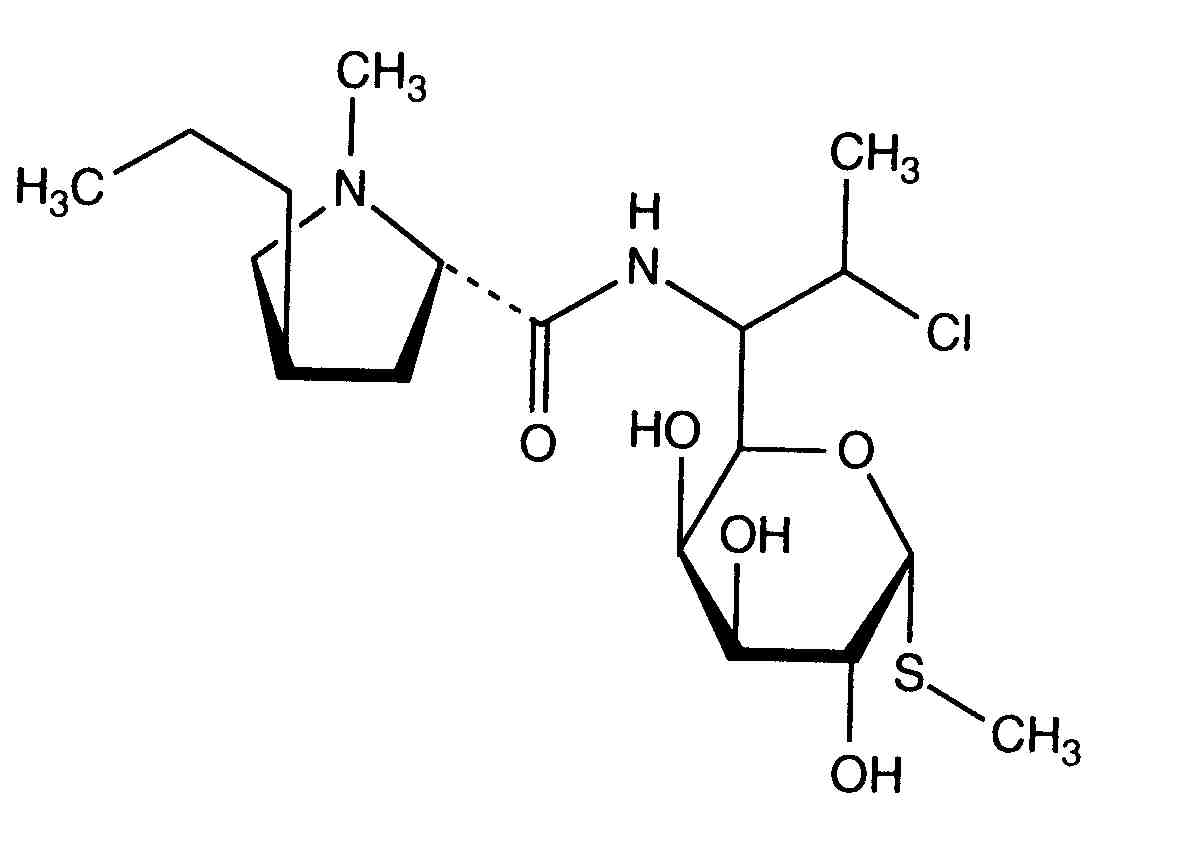
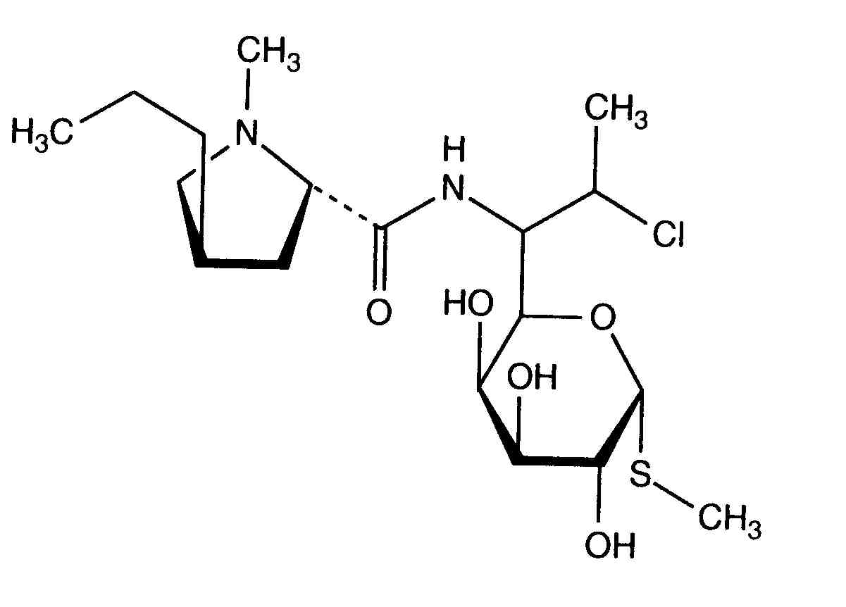
Antibiotika   Clindamycine hydrochloride  
Mikstur
Stabilitet av farmasøytiske preparater Stabilitet i blandinger Faktorer som påvirker stabiliteten Kompatibilitet Referanser pdf
   Kjemisk struktur  

Mikstur
Stabilitet i blandinger   Mikstur   Stabilitet i blandinger : Clindamycine hydrochloride     
Ingen opplysninger

  Mentions Légales