Last update :
31/03/2026
Antibiotic   Clindamycine hydrochloride  
Oral solution
Stability of pharmaceutical preparations Stability of mixtures Factors which affect stability Compatibility References pdf
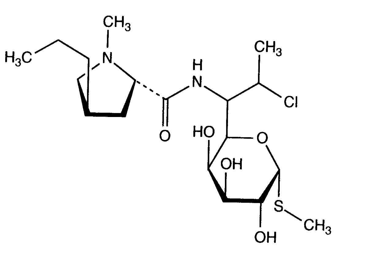
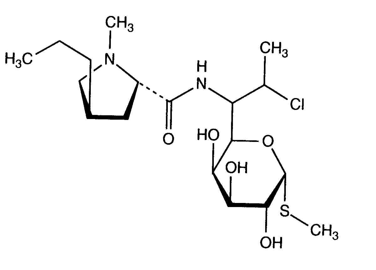
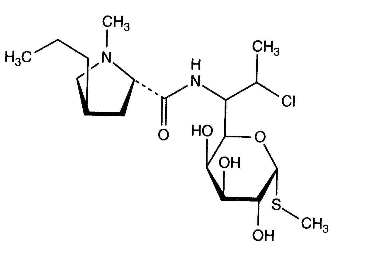
   Chemical structure  

Oral solution
Stability of mixtures   Oral solution   Stability of mixtures : Clindamycine hydrochloride     
No data

  Mentions Légales