Последно актуализиране :
12/02/2026
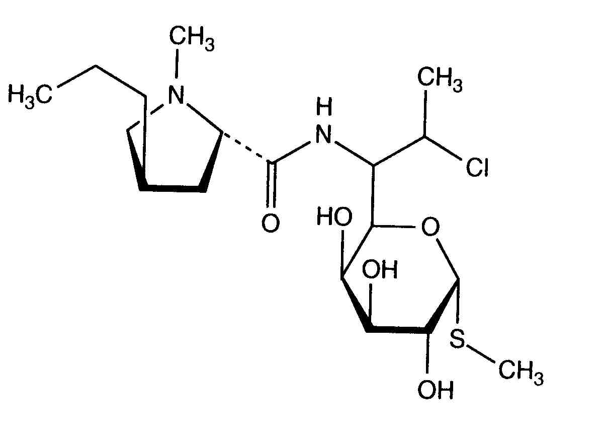
Антибиотик   Clindamycine hydrochloride  
Орален разтвор
Стабилност на лекарствени препарати Стабилност на смеси Фактори, повлияващи стабилността Съвместимост Библиография Pdf
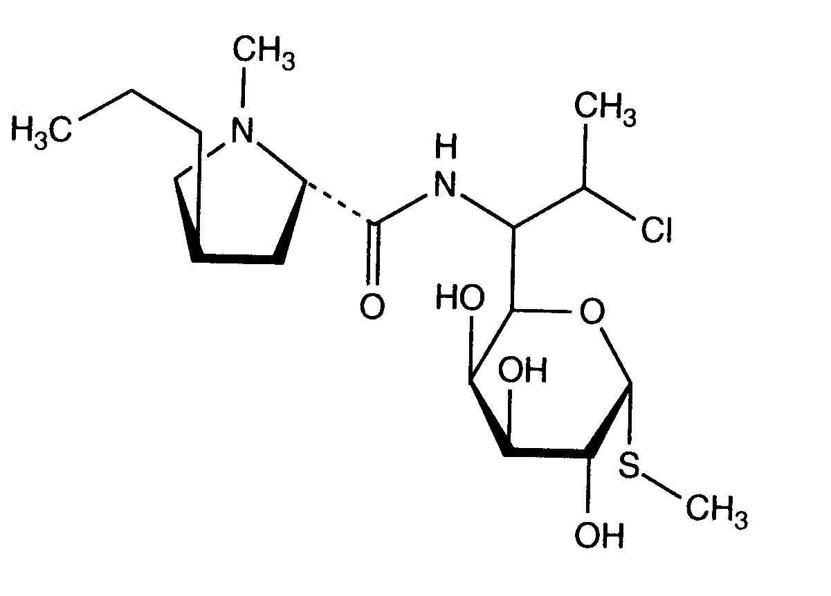
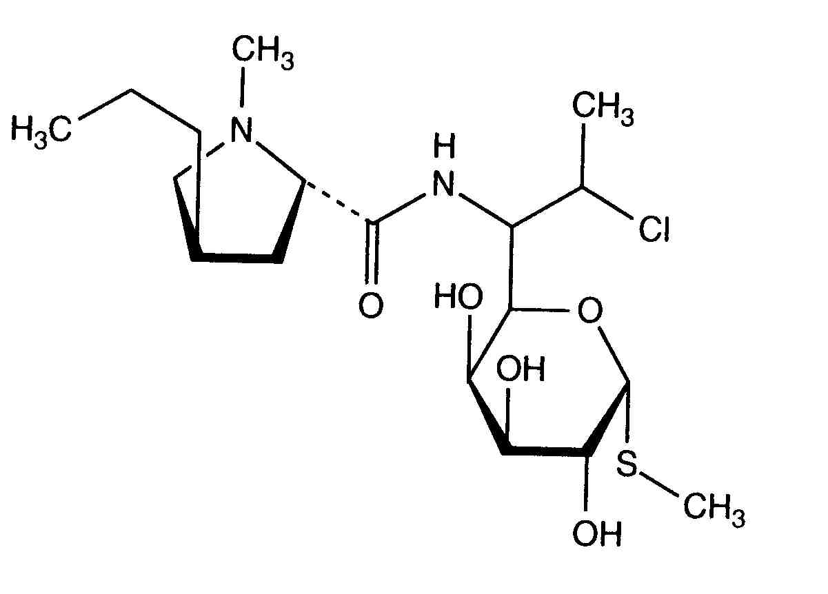
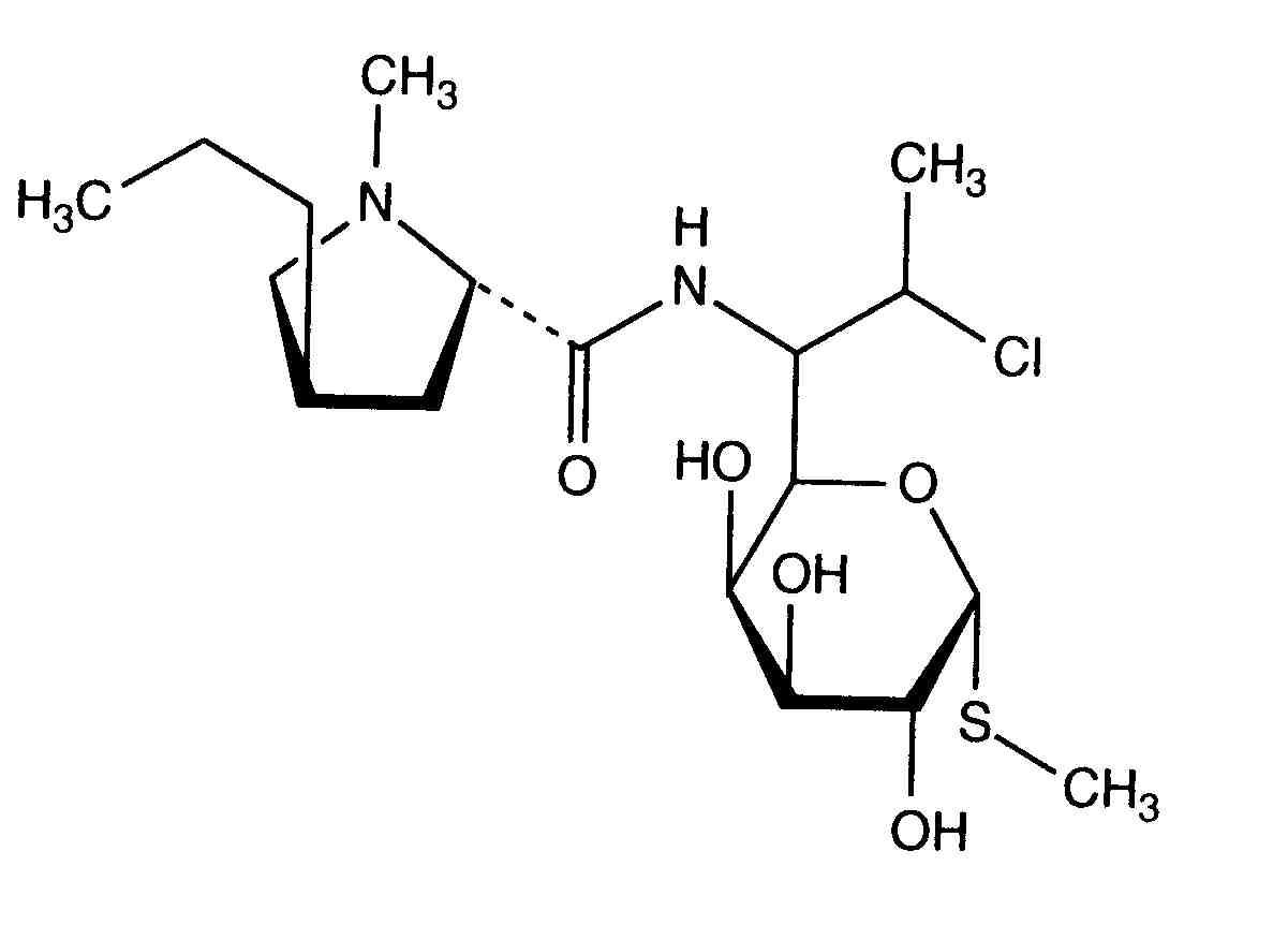
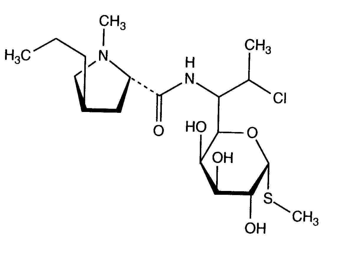
   Химична структура  

Орален разтвор
Стабилност на смеси   Орален разтвор   Стабилност на смеси : Clindamycine hydrochloride     
Няма данни

  Mentions Légales