Poslední aktualizace :
31/03/2026
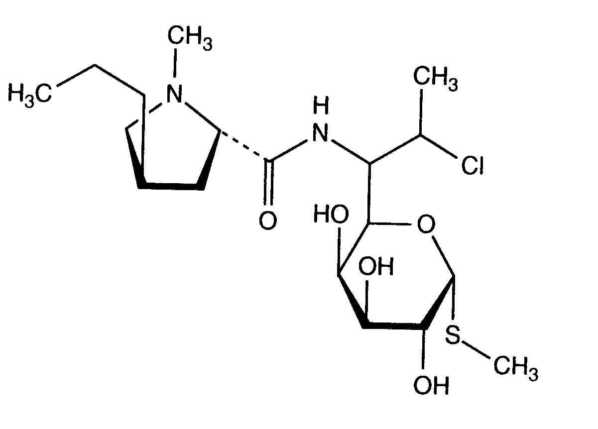
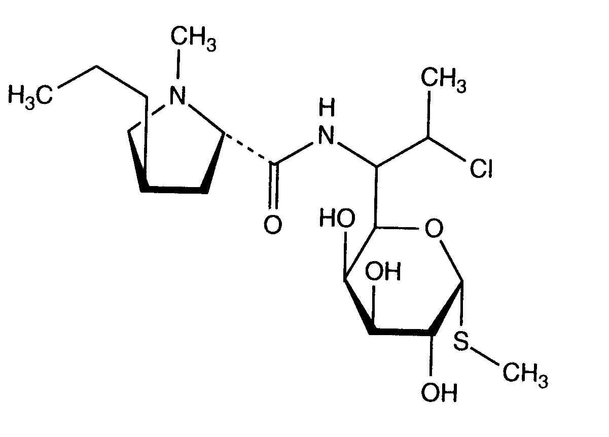
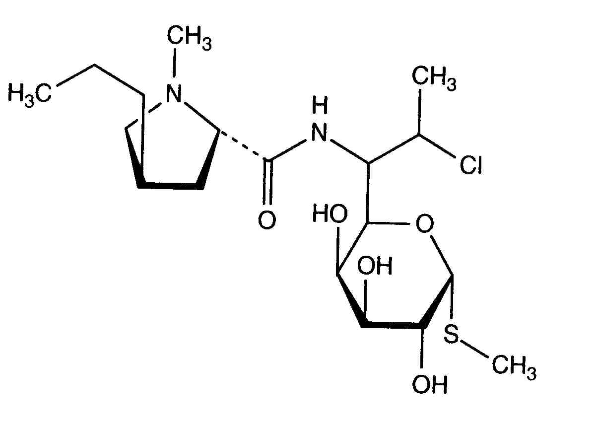
Antibiotikum   Clindamycine hydrochloride  
Perorální roztok
Stabilita farmaceutických přípravků Stabilita směsí Faktory ovlivňující stabilitu Kompatibilita Odkazy pdf
   Chemický vzorec  

Perorální roztok
Stabilita směsí   Perorální roztok   Stabilita směsí : Clindamycine hydrochloride     
žádná data

  Mentions Légales