Viimeisin päivitys :
31/03/2026
Infostab
Luettelo yhdisteistä
Yhteenveto-luettelot
Etsi yhteensopivuutta
Y-sivuston yhteensopivuustaulukko
Viitteet
tutkimus Joukkueet
valistab
ilmoitus
Liitännät
sponsorit
Tekijät
Käyttöohje
Uutiskirje
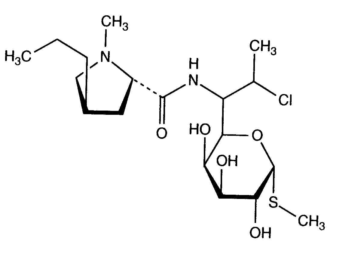
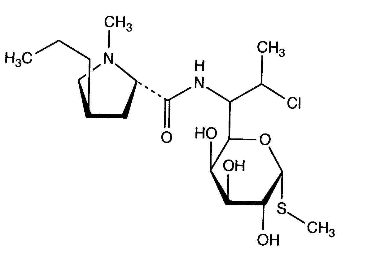
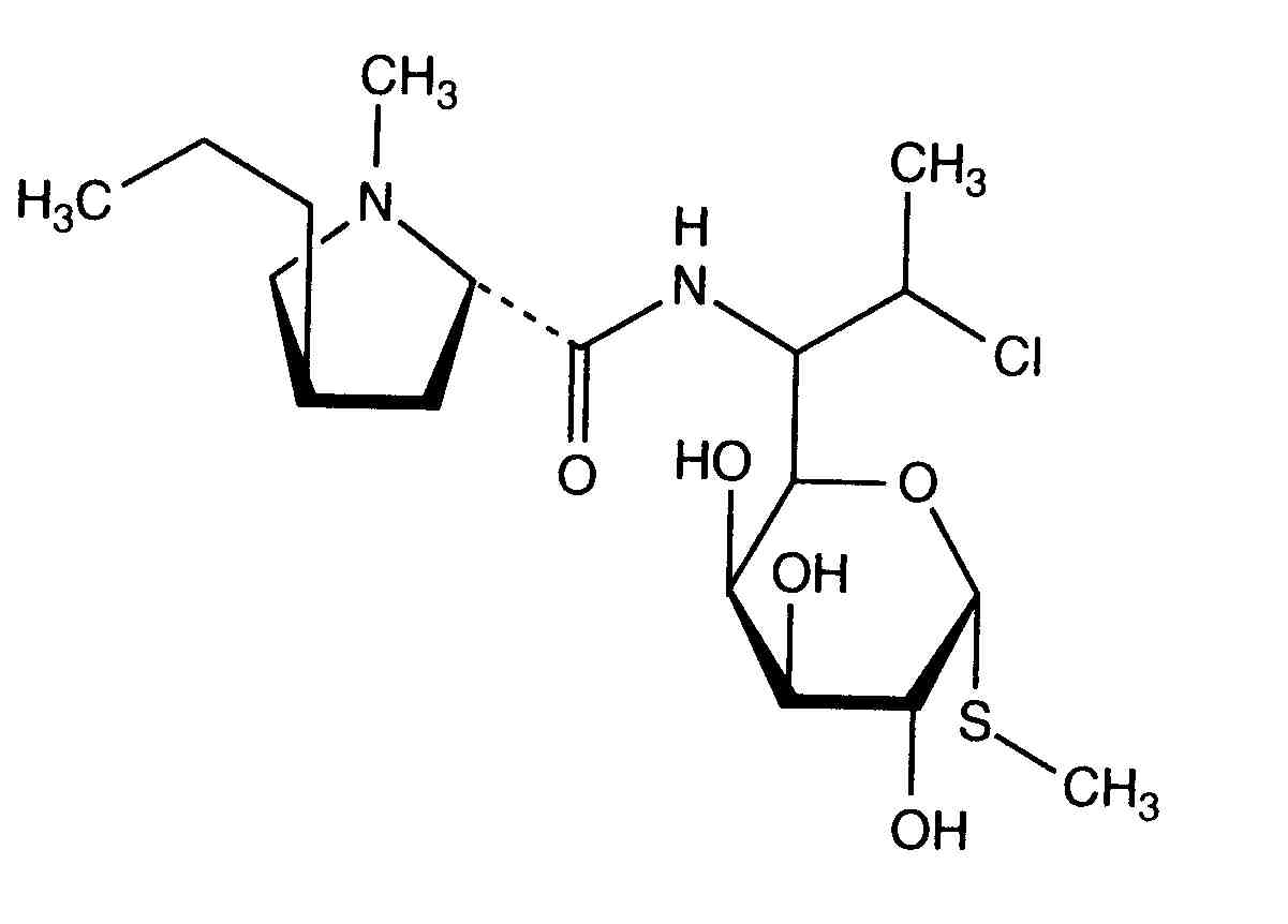
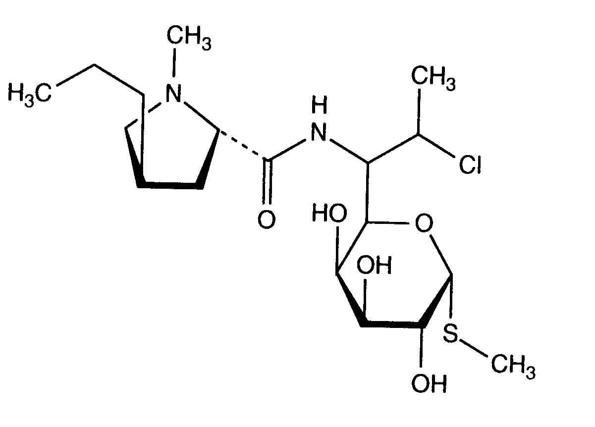
Clindamycine hydrochloride
Kemiallinen rakenne
Stabilius seoksissa : Clindamycine hydrochloride
ei tietoa
Mentions Légales