Poslední aktualizace :
31/03/2026
Antibiotikas   Clindamycine hydrochloride  
Geriamas tirpalas
Stabilumas farmacinių preparatų Mišinių stabilumas Stabilumą lemiantys veiksniai Suderinamumas Bibliografija pdf
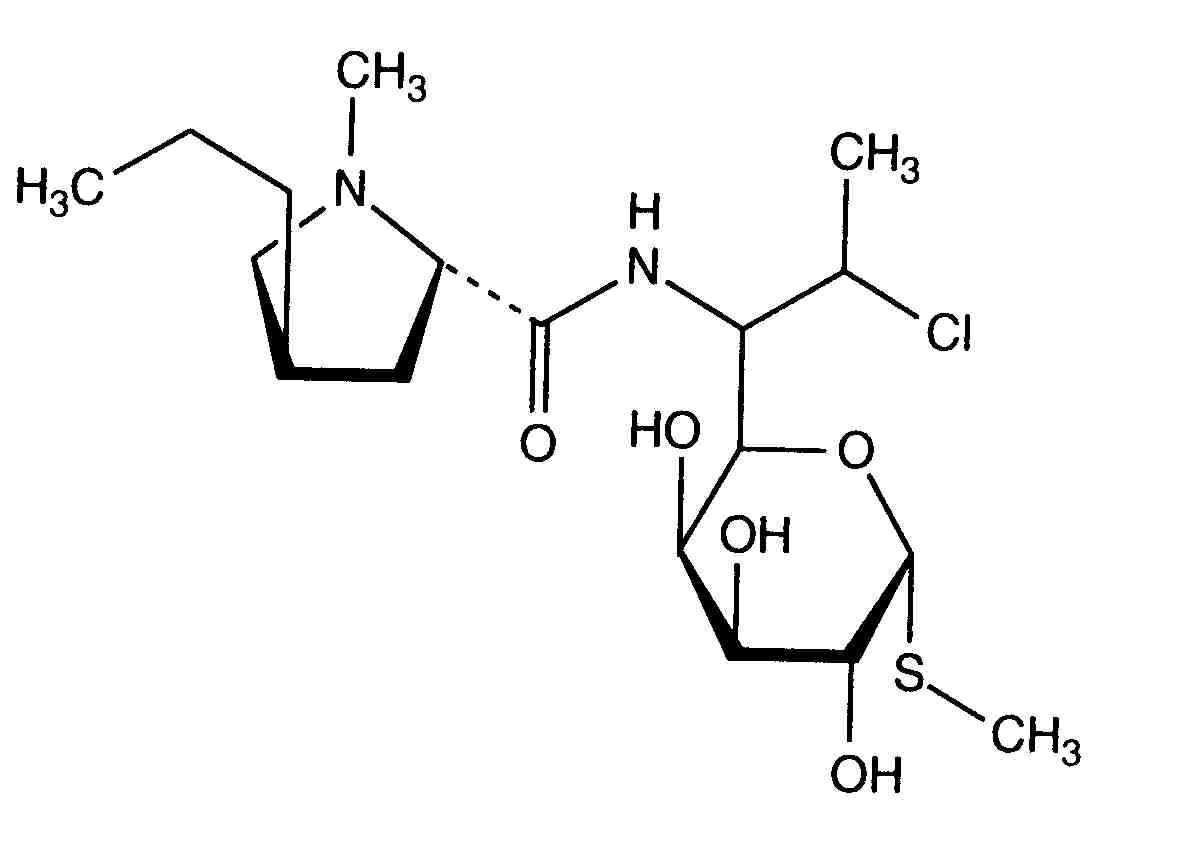
   Cheminė sandara  

Geriamas tirpalas
Mišinių stabilumas   Geriamas tirpalas   Mišinių stabilumas : Clindamycine hydrochloride     
Nėra duomenų

  Mentions Légales