zadnja posodobitev :
05/12/2025
Antibiotik   Azithromycine  
Mazila
Brizgalka
Stabilnost farmacevtskih preparatov Stabilnost mešanice Faktorji, ki vplivajo na stabilnost Kompatibilnost Viri pdf
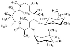
   Kemična formula  

Mazila
Stabilnost farmacevtskih preparatov   Mazila   Stabilnost farmacevtskih preparatov : Azithromycine     
Vsebnik Origine Ekscipient Temperatura Shranjevanje Trajanje stabilnosti Viri
Nedoločeno Medicinske steklenica za injiciranje 500 mg
Zithromax
Etanol 60% >> 25 mL
25°C Z ali brez svetlobe
182 Dan
2894


  Mentions Légales