Siste oppdatering :
18/03/2026
Antibiotika   Azithromycine  
Salver
Injeksjon
Stabilitet av farmasøytiske preparater Stabilitet i blandinger Faktorer som påvirker stabiliteten Kompatibilitet Referanser pdf
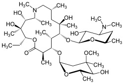
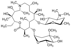
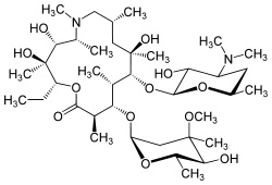
   Kjemisk struktur  

Salver
Stabilitet av farmasøytiske preparater   Salver   Stabilitet av farmasøytiske preparater : Azithromycine     
Beholder Origine Hjelpestoff Temperatur Oppbevaring Varighet av stabilitet Referanser
Ikke angitt Hetteglass 500 mg
Zithromax
Etanol 60% >> 25 mL
25°C Med eller uten lys
182 Dag
2894


  Mentions Légales