Seneste opdatering :
18/03/2026
Antibiotisk   Azithromycine  
Salver
Injektion
Stabilitet af farmaceutiske tilberedninger Stabilitet i blandinger Faktorer der påvirker stabiliteten Kompatibilitet Bibliografi pdf
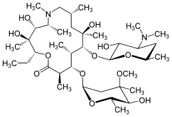
   Kemisk struktur  

Salver
Stabilitet af farmaceutiske tilberedninger   Salver   Stabilitet af farmaceutiske tilberedninger : Azithromycine     
Beholder Origine Hjælpestof Temperatur Konservering Varighed af stabilitet Bibliografi
Ikke angivet nærmere Medicinflaske til injektion 500 mg
Zithromax
Ethanol 60% >> 25 mL
25°C Med eller uden lys
182 Dag
2894


  Mentions Légales