viimane versioon :
05/12/2025
antibiootikum   Azithromycine  
salv
Süsteravim
Stabiilsust ravimpreparaadid Stabiilsust mõjutavad tegurid stabiilsust mõjutavad faktorid Sobimatus Viited pdf
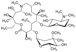
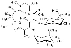
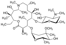
   keemiline struktuur  

salv
Stabiilsust ravimpreparaadid   salv   Stabiilsust ravimpreparaadid : Azithromycine     
konteiner Origine  abiaine temperatuur ladustamine Stabiilsuse kestus Viited
pole täpsustatud Süsteravimi viaal 500 mg
Zithromax
Etanool 60% >> 25 mL
25°C valgusega või ilma valguseta
182 päev
2894


  Mentions Légales