Letztes “update” :
18/03/2026
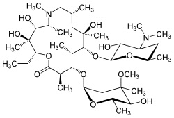
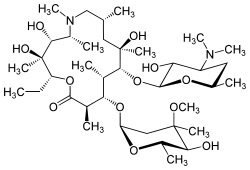
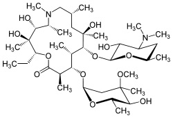
Antibiotikum   Azithromycine  
Salben
Injektion
Stabilität von pharmazeutischen Präparaten Gemengestabilität Stabilitätbeeinflussende Faktoren Kompatibilitäten Literaturverzeichnis pdf
   Chemische Struktur  

Salben
Stabilität von pharmazeutischen Präparaten   Salben   Stabilität von pharmazeutischen Präparaten : Azithromycine     
Behälter Origine Hilfsstoff Temperatur Konservierung Dauer der Stabilität Literaturverzeichnis
Nicht genau angegeben Injektionsflasche 500 mg
Zithromax
Ethanol 60% >> 25 mL
25°C Mit oder ohne Licht
182 Tag
2894


  Mentions Légales