最新更新 :
18/03/2026
抗生素   Azithromycine  
药膏
注射液
制剂的稳定性 混合物稳定性 影响稳定性的因素 兼容性 引用文献 PDF
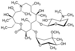
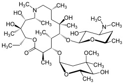
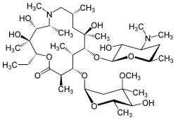
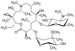
   化学式  

药膏
制剂的稳定性   药膏   制剂的稳定性 : Azithromycine     
容器 Origine 添加剂 温度 保存 穩定持續時間 引用文献
不详 注射用瓶 500 mg
Zithromax
乙醇 60% >> 25 mL
25°C 光/避光
182 白天
2894


  Mentions Légales