Ultimele actualizari :
18/03/2026
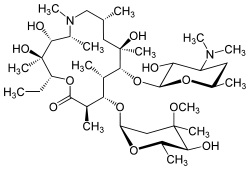
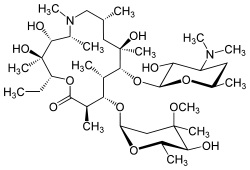
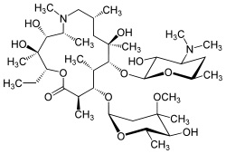
Antibiotic   Azithromycine  
Unguente
Injectabil
Stabilitatea preparatelor farmaceutice Stabilitatea in amestec Factorii care influenteaza stabilitatea Compatibilitate Bibliografie pdf
   Formula chimica  

Unguente

Factorii care influenteaza stabilitatea   Unguente   Factorii care influenteaza stabilitatea : Azithromycine        
Absenta de date

  Mentions Légales