Poslední aktualizace :
18/03/2026
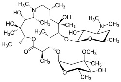
Antibiotikum   Azithromycine  
Masti
injekce
Stabilita farmaceutických přípravků Stabilita směsí Faktory ovlivňující stabilitu Kompatibilita Odkazy pdf
   Chemický vzorec  

Masti

Faktory ovlivňující stabilitu   Masti   Faktory ovlivňující stabilitu : Azithromycine        
žádná data

  Mentions Légales